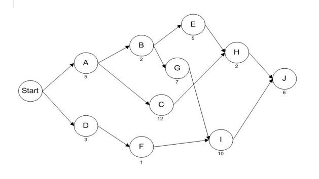
Question: The network below represents a project being analyzed by the critical path method. Activity durations are A=5, B=2, C=12, D=3, E=5, F=1, G=7, H=2, I=10,
The network below represents a project being analyzed by the critical path method. Activity durations are A=5, B=2, C=12, D=3, E=5, F=1, G=7, H=2, I=10, and J=6.

a. What task must be on the critical path, regardless of activity durations?
b. What is the duration of path A-B-E-H-J?
c. What is the critical path of this network?
d. What is the length of the critical path?
e. What is the slack time at activity H?
f. What is the Late Finish time of activity H?
g. If activity C were delayed by two-time units, what would happen to the project duration?
E H A G (Start 12 D 10 B.
Step by Step Solution
3.41 Rating (154 Votes )
There are 3 Steps involved in it
The last task of the network will have no slack regardless of activity dura... View full answer
Get step-by-step solutions from verified subject matter experts
