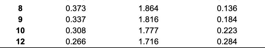
Question: Value of R please c Upper Range, Sample Size, n DA Lower Range, D3 2 0 0 3 OUT AN Mean Factor, A2 1.880 1.023
Value of R please

c

Step by Step Solution
There are 3 Steps involved in it
1 Expert Approved Answer
Step: 1 Unlock
Question Has Been Solved by an Expert!
Get step-by-step solutions from verified subject matter experts
Step: 2 Unlock
Step: 3 Unlock
