New Semester
Started
Get
50% OFF
Study Help!
--h --m --s
Claim Now
Question Answers
Textbooks
Find textbooks, questions and answers
Oops, something went wrong!
Change your search query and then try again
S
Books
FREE
Study Help
Expert Questions
Accounting
General Management
Mathematics
Finance
Organizational Behaviour
Law
Physics
Operating System
Management Leadership
Sociology
Programming
Marketing
Database
Computer Network
Economics
Textbooks Solutions
Accounting
Managerial Accounting
Management Leadership
Cost Accounting
Statistics
Business Law
Corporate Finance
Finance
Economics
Auditing
Tutors
Online Tutors
Find a Tutor
Hire a Tutor
Become a Tutor
AI Tutor
AI Study Planner
NEW
Sell Books
Search
Search
Sign In
Register
study help
mathematics
acing the new sat math
Acing The New SAT Math 1st Edition Thomas Hyun - Solutions
A collection of quarters, dimes, and nickels is worth $5.00. If the ratio of quarters to dimes to nickels is 2:4:7, how many quarters are there?
A tree is 8 feet tall and grows 8 inches each year. In how many years will the tree reach a height of 30 feet?A) 27B) 33C) 45D) 52
A person is born every 5 seconds and a person dies every 12 seconds. How many seconds does it take for the population to grow by one person? A) 7 sec 4 B) 8 sec 7 C) 10.5 sec 5 D) 10 sec
At a grocery store, 20 fl oz of brandAvitamin water is sold for $0.95. What is the unit price of the vitamin water per ounce, to the nearest cents?
The density of aluminum is 2.7 grams per cm3. How many grams does 12 cm3 of aluminum weigh?
A trail mix contains raisin, peanut, and chocolate. The ratio of raisin to peanut is 2:3 and the ratio of peanut to chocolate is 5:8. What is the ratio of raisin to chocolate?
In a certain room the ratio of males to females is 4 to 5. After 8 males enter the room, the ratio of males to females is 6 to 5. What is the total number of people in the room before the additional males enter the room?A) 27B) 36C) 45D) 54
There are n candies in a jar. If one candy is removed, what percent of the candies are left in terms of n? A) 100(1-n)% B) 100(¹-1)% n C) 100(n-¹)% n D) 100(¹-1)% n
Steve is going to paint a wall that measures 9 feet by 12 feet. If one gallon of paint is needed for each s square foot of wall and each gallon costs g dollars, in terms of s and g how much does it cost to paint the entire wall? A) B) C) D) 108 gs gs 108 108s g 108g S
If 2 inches are equivalent to 5 centimeters, how many square centimeters are in one square inch?
A large painting has a length of 18 inches and a width of 12 inches. If each dimension is reduced by x inches to make the ratio of length to width 5 to 3, what is the value of x?
28% of what number is 7?
Victor invests part of his $5,000 in a savings account that pays 4.5% annual simple interest. He invests the rest in bonds that pay 8% annual simple interest. Let s be the amount invested in savings and r be the amount invested in bonds. Victor’s total income in one year from these investments is
A chemist mixes x mL of a 34% acid solution with a 10% acid solution. If the resulting solution is 40 mL with 25% acidity, what is the value of x?A) 18.5B) 20C) 22.5D) 25
Which of the following is equivalent to 0.03 % of 4?A) 0.12B) 0.012C) 0.0012D) 0.00012
3.6 is 240% of what number?
There are 600 bottles of sports drinks in a store. 25% of the bottles are orange flavored drinks. On Monday 30% of the orange flavored drinks in the store were sold and on Tuesday 20% of the remaining orange flavored drinks were sold. How many bottles of orange flavored drinks were sold in the two
The price of a cellphone was discounted by 25% and then discounted an additional 20%, to become $348. What was the original price of the cellphone before it was discounted twice?A) $580.00B) $620.00C) $650.00D) $680.00
The price of a package of 4 pens is $8.00. The same pens are sold at $2.50 each. If Alex bought three packages of pens rather than buying 12 pens individually, the amount he saved on 12 pens is what percent of the amount he paid?A) 12%B) 20%C) 25%D) 30%
What percent of 12 is 8? A) 60% 2 B) 66 % 3 C) 75% درا D) 130-¹% 3
1/400 =A) 0.25%B) 0.025%C) 0.0025%D) 0.00025%
There is a total of n pairs of shoes in a store, all of which are either black or brown. If there are m pairs of brown shoes in the store, then in terms of m and n, what percent of the shoes in the store are black? A) ™。 % 打 B)-m n 100m、 --)% n C) (1-- D) 100(1-m)% 打
1/2% of 180 is what number?
A chemist mixes a 40% acid solution and a 30% acid solution. How many liters of the 40% solution must be added to produce 50 liters of a solution that is 36% acid?A) 24B) 26C) 30D) 32
The temperature increased from 60°F to 72°F. What is the percent increase in temperature? A) 15% 50 B) درا D) -% 3 C) 20% 70% 3
Which of the following proportions could be used to solve the above expression? 54 is 120% of k.
By what percent is 4.5 × 105 greater than 9 × 104?A) 200%B) 400%C) 500%D) 600%
The quantities x and y are positive. If x is decreased by 20 percent and y is increased by 20 percent, then the product of x and y isA) UnchangedB) Decreased by 4%C) Increased by 5%D) Decreased by 6%
3 1/3% of what number is 2.5?
A tablet with a list price of x dollars is discounted by 15% and then discounted an additional 12%. What is the final sale price of the tablet, in terms of x?A) 0.73xB) 0.748xC) 0.75xD) 0.765x
26.4 is 0.55% of what number?
A sporting goods store added 50% profit cost and 8% tax to the price of a backpack, which then became $129.60. What was the price of the backpack before adding profit and tax?
This year’s enrollment in Mesa School District is 6,000, which is 20 percent higher than last year’s. What was last year’s enrollment in Mesa School District?
There are 800 students in a school and 45% of the students are male. If 30% of the male students and 25% of the female students play varsity sports, how many students play varsity sports?
If Kevin’s monthly salary of $4,500 is 72 percent of Paul’s monthly salary, what is Paul’s monthly salary?A) $3,240B) $5,150C) $5,870D) $6,250
The numbers a, b, and c are positive and a equals 3.2bc. If b is increased by 150% and c is decreased by 60%, then a isA) Increased by 90%B) Increased by 10%C) UnchangedD) Decreased by 10%
If 125% of x is 80 and x is n% of 400, what is the value of n?
There are 10 history books in a bookcase. When the number of books increases by x percent, the new number of history books is 24. What is the value of x?A) 58B) 70C) 120D) 140
Number n is 25 less than 120 percent of itself. What is the value of n?A) 125B) 120C) 105D) 90
Of the 500 cars displayed in a certain car dealer, 7 percent are blue and 4 percent are red. The number of blue cars in the car dealer are what percent greater than the number of red cars?A) 30%B) 50%C) 75%D) 125%
If 300% of 0.18 is equivalent to 20% of b, then b is equivalent to what number?
Five people contributed $9,000 each toward the purchase of a sailboat. If they ended up paying $38,500 plus 8% sales tax for the boat, how much money should be refunded to each person?
The sum of two numbers is 14 and the ratio of the two numbers is −3. What is the product of the two numbers? A) -105 B) -119 C) -133 D) -147
Together there are 754 students and teachers in the meeting. If the ratio of students to teachers is 27:2, how many teachers are there?A) 46B) 52C) 58D) 64
The density of an object is equal to the mass of the object divided by the volume of the object. What is the mass, in grams, of an object with a volume of 0.01m3 and a density of 4.54 grams per cubic centimeters? (1 m = 100cm)A) 454B) 4,540C) 45,400D) 454,000
If 2(x - y) = 3y, what is the ratio x/y? D) 00 | درا B) A) 2|5
Concrete is made by mixing cement, sand, and gravel in the ratio 5 : 9 : 13. How much cement is needed to make 324 ft3 of concrete? A) 54 ft³ B) 60 ft³ C) 84 ft³ D) 108 ft³
A machine produced 735 tapes in 5(1/4) hours. What fraction of the 735 tapes was produced in one hour? A) B) C) D) 21 5 21
The tennis balls in a bag are either white or yellow. If the ratio of white balls to yellow balls is 3/10, which of the following could not be the number of balls in the bag?A) 26B) 39C) 42D) 52
The ratio of length to width of a rectangular garden is 6:7. If the perimeter of the rectangle is 78 meters, what is the area of the garden in square meters?A) 274B) 326C) 352D) 378
If Andy drove 84 miles in 1 hour 45 minutes, how many miles can he drive in 5 hours?
A store used to sell an MP3 for $72, which is 50% more than the wholesale cost. At a special holiday sale, the price of the MP3 was 20% less than the wholesale cost. What was the special sale price of the MP3?
The test scores of 8 students are shown in the table. Let m be the mean of the scores and M be the median of the score. What is the value of M−m?A) −6B) 0C) 3D) 6 Test Scores Number of Students 67 75 87 1 3 2 91 2
The line graph shows the enrollment for College R between 1950 and 2000.According to the graph above, College R showed the greatest change in enrollment between which two decades?A) 1950 to 1960B) 1960 to 1970C) 1970 to 1980D) 1980 to 1990 Enrollment (in Thousands) 4 5 M 1950 Enrollment for College
The figure shows a normal distribution with mean m and standard deviation d, including approximate percentages of the distribution corresponding to the regions shown. Suppose the SAT math scores of 1,200 students entering a certain university are normally distributed with a mean score of 600 and
The scatter plot shows the average scores of 10 golfers and their weekly practice times. The line of best fit is also shown.What is the average score of the golfer that is farthest from the line of best fit?A) 93B) 96C) 98D) 99 Average Scores 100- 90+ 80+ y 0 2 4 6 8 6 8 10 12 14 Average Practice
A polling organization takes a random sample of 500 voters who voted for the mayoral election of a large western city. The organization gathered data right after the election, as shown in the table.According to the data above, what percent of people from ages 31 to 55 voted for candidate B?A) 38%B)
The graph is a scatter plot with 8 points, each representing the low temperature and high temperature of 8 days in September in a certain city. Both the low temperatures and high temperatures are measured in degrees Fahrenheit. The line of best fit for the data is also shown.Based on the line of
The table shows the frequency distribution of the number of children in each of 8 families.Let m be the mean of the data set above. What is the value of m? Number of Children Frequency 0 1 1 2 2 4 3 4 0 1
The graph is a scatter plot with 8 points, each representing the low temperature and high temperature of 8 days in September in a certain city. Both the low temperatures and high temperatures are measured in degrees Fahrenheit. The line of best fit for the data is also shown.Among the four days
The average (arithmetic mean) of a set of n numbers is 19. If the average of the 6 greatest numbers in the set is 29 and the average of the remaining numbers is 7, what is the value of n?A) 9B) 10C) 11D) 12
A polling organization takes a random sample of 500 voters who voted for the mayoral election of a large western city. The organization gathered data right after the election, as shown in the table above.The total population of individuals in the city who voted for the election was about 450,000.
The average (arithmetic mean) of two numbers is 1/2 x + 1. If one of the numbers is x, what is the other number? A) x+2 B) x-2 C) -2 D) 2
The line graph shows the enrollment for College R between 1950 and 2000.If enrollment increases by approximately the same percentage between 2000 and 2010 as it decreased between 1950 and 1960, what is the expected enrollment in 2010?A) 7,250B) 7,540C) 7,650D) 7,875 Enrollment (in
The figure shows a normal distribution with mean m and standard deviation d, including approximate percentages of the distribution corresponding to the regions shown. Suppose the SAT math scores of 1,200 students entering a certain university are normally distributed with a mean score of 600 and
A polling organization takes a random sample of 500 voters who voted for the mayoral election of a large western city. The organization gathered data right after the election, as shown in the table.According to the data above, how many times more likely is it for ages 18 to 30 year olds to vote for
The figure shows a standard normal distribution with mean of 160 and standard deviation d, including approximate percents of the distribution corresponding to the regions shown. If the value 148 is at the 12th percentile of the distribution, which of the following is the best estimate of the
The graph is a scatter plot with 8 points, each representing the low temperature and high temperature of 8 days in September in a certain city. Both the low temperatures and high temperatures are measured in degrees Fahrenheit. The line of best fit for the data is also shown.What is the predicted
The histogram shows the distribution of the number of triples hit by 30 major league baseball teams in a certain year. Which of the following could be the median number of triples represented in the histogram?A) 19B) 27C) 32D) 34 Number of Teams 12- 10- CO 6 10 20 30 40 50 Number of Triples Hit
The table below shows the number of college faculty members in three departments: biological sciences, education, and social sciences.What is the probability that a randomly chosen faculty member is a female given that she is from Biological Sciences?
The table shows the distribution of a group of 120 college students by gender and major.If one student is randomly selected from the group, what is the probability that the student is a History major? Male Female Economics 24 18 History 20 22 Music 19 17
The table shows the distribution of a group of 120 college students by gender and major.If one student is randomly selected from the group what is the probability that the student is a male Economics major? Male Female Economics 24 18 History 20 22 Music 19 17
Product p = s ⋅t is formed from the two sets, in which s is a number from set Sand t is a number from set T. What is the probability that the product s ⋅ t will be a positive number? S = {-5.-2,-1, 4} I = {-2, 3, 7}
The table below shows the number of college faculty members in three departments: biological sciences, education, and social sciences.What is the probability that a randomly chosen faculty member is a male or from Social Sciences?
The table below shows the number of college faculty members in three departments: biological sciences, education, and social sciences.What is the probability that a randomly chosen faculty member is from Biological Sciences given that the faculty member is a male?
The table shows the distribution of a group of 120 college students by gender and major.If a male student is selected at random, which of the following is closest to the probability that he is a Music major?A) 0.270B) 0.302C) 0.317D) 0.381 Male Female Economics 24 18 History 20 22 Music 19 17
The average (arithmetic mean) of m, n, and −1 is 0. What is the value of m+n?
The table below shows the number of college faculty members in three departments: biological sciences, education, and social sciences.What is the probability that a randomly chosen faculty member is a female from Education department or a male from Social Sciences?
A hiker is going to hike a mountain where there are four trails to the top of the mountain.In how many different ways can he hike up and down the mountain?
The table below shows the number of college faculty members in three departments: biological sciences, education, and social sciences.For Biological Science and Education faculties combined, 1/6 of the female and 1/4 of the male faculty members are associate professors. If a person is randomly
A bag contains 15 balls, numbered 1 through 15.What is the probability of selecting a number that is odd or a multiple of 5?
The incomplete table shows the distribution of age and gender for 32 people who entered a tennis tournament.If a person is selected at random from the 30 or older player group, what is the probability that the person is a female? Male Female Total Under 30 30 or older 3 8 24 Total 12 20 32
The table shows the distribution of a group of 120 college students by gender and major.If a Music major is selected at random, which of the following is closest to the probability that the student is a female?A) 0.298B) 0.315C) 0.386D) 0.472 Male Female Economics 24 18 History 20 22 Music 19 17
The incomplete table shows the distribution of age and gender for 32 people who entered a tennis tournament.If a tennis player is chosen at random, what is the probability that the player will be either a male under age 30 or a female aged 30 or older? Male Female Total Under 30 30 or
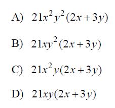
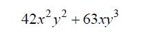
Which of the following is equivalent to the expression shown? A) 21x²y²(2x+3y) B) 21xy² (2x+3y) C) 21x²y(2x+3y) D) 21xy(2x+3y)
Number of Visits to Movie Theaters by StudentsThe table above summarizes the number of visits to movie theaters by 168 juniors and 152 seniors during summer vacation.If a student is selected at random from those who visited movie theaters at least once, what is the probability that the student is a
Sixteen players participated in a tennis tournament. Three players will be awarded for first, second, and third prize.In how many different ways can the first, second, and third prizes be awarded?
A hiker is going to hike a mountain where there are four trails to the top of the mountain.If the hiker does not want to take the same trail both ways, in how many different ways can he hike up and down the mountain?
Which of the following is equivalent to the expression shown? A) 8(a+b) B) gab 8 C) 16ª+b D) 16ab
Which of the following is equivalent to the expression shown? 1+2x-x(1+2x)
A bag contains 15 balls, numbered 1 through 15.A ball is selected at random then replaced in the bag. A second selection is then made. What is the probability that the first number is a prime number and the second number is a multiple of 3?
Which of the following is equivalent to the expression shown? (x+3)(x - 5)
Which of the following is equivalent to the expression shown? (2–5r)(5r+2)
Number of Visits to Movie Theaters by StudentsThe table above summarizes the number of visits to movie theaters by 168 juniors and 152 seniors during summer vacation.If a student is selected at random, which of the following is closest to the probability that the student is a senior and visited
Which of the following is equivalent to the expression shown? A) 6xy(2x-3yz) B) 6x²y(2x-3yz) C) 6xy²(2x-3yz) D) 6x²y²(2x-3yz)
Janis is making a flight reservation for her business trip. The travel agent informs that the probability that her flight to Phoenix will arrive on schedule is 90% and the probability that her flight from Phoenix to Atlanta will arrive on schedule is 80%.What is the probability that both flights
Which of the following is equivalent to the expression shown? A) 2 B) 4a C) 2a+2 D) 2a-2
Which of the following is equivalent to the expression shown? A) (2m-n)(mp-3) B) (2m-p)(mn-3) C) (2m+ p)(mn+3) D) (2m-n)(mn-3p)
Sixteen players participated in a tennis tournament. Three players will be awarded for first, second, and third prize.How many different groups of 3 people can get prizes?
Janis is making a flight reservation for her business trip. The travel agent informs that the probability that her flight to Phoenix will arrive on schedule is 90% and the probability that her flight from Phoenix to Atlanta will arrive on schedule is 80%.What is the probability that her flight to
Showing 500 - 600
of 778
1
2
3
4
5
6
7
8
Step by Step Answers