New Semester
Started
Get
50% OFF
Study Help!
--h --m --s
Claim Now
Question Answers
Textbooks
Find textbooks, questions and answers
Oops, something went wrong!
Change your search query and then try again
S
Books
FREE
Study Help
Expert Questions
Accounting
General Management
Mathematics
Finance
Organizational Behaviour
Law
Physics
Operating System
Management Leadership
Sociology
Programming
Marketing
Database
Computer Network
Economics
Textbooks Solutions
Accounting
Managerial Accounting
Management Leadership
Cost Accounting
Statistics
Business Law
Corporate Finance
Finance
Economics
Auditing
Tutors
Online Tutors
Find a Tutor
Hire a Tutor
Become a Tutor
AI Tutor
AI Study Planner
NEW
Sell Books
Search
Search
Sign In
Register
study help
mathematics
calculus with applications
Calculus For Business, Economics And The Social And Life Sciences 11th Brief Edition Laurence Hoffmann, Gerald Bradley, David Sobecki, Michael Price - Solutions
In Exercises 15 through 30, find the derivative dy/dx. In some of these problems, you may need to use implicit differentiation or logarithmic differentiation.y = x ln x2
In Exercises 5 through 20, determine where the given function is increasing and decreasing and where its graph is concave upward and concave downward. Sketch the graph of the function. Show as many key features as possible (high and low points, points of inflection, vertical and horizontal
In Exercises 13 through 20, use logarithmic rules to simplify each expression.ln (x3e−x2)
In Exercises 5 through 20, determine where the given function is increasing and decreasing and where its graph is concave upward and concave downward. Sketch the graph of the function. Show as many key features as possible (high and low points, points of inflection, vertical and horizontal
In Exercises 15 through 30, find the derivative dy/dx. In some of these problems, you may need to use implicit differentiation or logarithmic differentiation.y = log3(x2)
In Exercises 19 through 28, find all real numbers x that satisfy the given equation.42x−1 = 16
In Exercises 13 through 20, use logarithmic rules to simplify each expression. In X r³√I-r. 1
In Exercises 15 through 30, find the derivative dy/dx. In some of these problems, you may need to use implicit differentiation or logarithmic differentiation. y || X In 2x
In Exercises 1 through 38, differentiate the given function.f(x) = ex ln x
In Exercises 5 through 20, determine where the given function is increasing and decreasing and where its graph is concave upward and concave downward. Sketch the graph of the function. Show as many key features as possible (high and low points, points of inflection, vertical and horizontal
In Exercises 19 through 28, find all real numbers x that satisfy the given equation.3x22x = 144
In Exercises 15 through 30, find the derivative dy/dx. In some of these problems, you may need to use implicit differentiation or logarithmic differentiation. y ex + et -2x 1 + e
In Exercises 21 through 36, solve the given equation for x.4x = 53
In Exercises 1 through 38, differentiate the given function.f(x) = e−2x + x3
A manufacturer of toys has found that the fraction of its plastic battery-operated toy oil tankers that sink in fewer than t days is approximately f(t) = 1 − e−0.03t.a. Sketch this reliability function. What happens to the graph as t increases without bound?b. What fraction of the tankers can
In Exercises 15 through 30, find the derivative dy/dx. In some of these problems, you may need to use implicit differentiation or logarithmic differentiation. y = e3x e³x + 2 3x
In Exercises 19 through 28, find all real numbers x that satisfy the given equation. 4% 2 3x = 8
In Exercises 1 through 38, differentiate the given function.g(s) = (es + s + 1)(2e−s + s)
In Exercises 15 through 30, find the derivative dy/dx. In some of these problems, you may need to use implicit differentiation or logarithmic differentiation.y = ln(e−2x + e−x)
In Exercises 21 through 36, solve the given equation for x.log3(2x − 1) = 2
Once the initial publicity surrounding the release of a new book is over, sales of the hardcover edition tend to decrease exponentially. At the time publicity was discontinued, a certain book was experiencing sales of 25,000 copies per month. One month later, sales of the book had dropped to 10,000
In Exercises 1 through 38, differentiate the given function.f(t) = t2 ln 3√t
In Exercises 21 through 36, solve the given equation for x.log2 x = 4
In Exercises 19 through 28, find all real numbers x that satisfy the given equation.23−x = 4x
The total number of hamburgers sold by a national fast-food chain is growing exponentially. If 4 billion had been sold by 2005 and 12 billion had been sold by 2010, how many will have been sold by 2015?
a. Use the quotient rule to differentiate the functionb. Rewrite the function as y = x−3(2x − 3), and differentiate using the product rule.c. Rewrite the function as y = 2x−2 − 3x−3 and differentiate. y || 2x - 3 x³ N
In each of these cases, determine where the given function is increasing and decreasing and where its graph is concave upward and concave downward. Sketch the graph, showing as many key features as possible (high and low points, points of inflection, asymptotes, intercepts, cusps, vertical
Leta. Find the average rate of change of s(t) with respect to t as t changes from to t = −1/2 to t = 0.b. Use calculus to find the instantaneous rate of change of s(t) at t = −1/2, and compare with the average rate found in part (a). s(t) = t - 1 t + 1
a. Find f(4) if f(x) = Ae−kx and f(0) = 10, f(1) = 25.b. Find f(3) if f(x) = Aekx and f(1) = 3, f(2) = 10.c. Find f (9) if f(x) = 30 + Ae−kx and f(0) = 50, f(3) = 40.d. Find f (10) ifand f(0) = 3, f(5) = 2. f(t) = 6 1 + Ae - kt
It is estimated that the weekly output at a certain plant is Q(x) = 50x2 + 9,000x units, where x is the number of workers employed at the plant. Currently there are 30 workers employed at the plant.a. Use calculus to estimate the change in the weekly output that will result from the addition of 1
In Exercises 35 through 40, find the equation of the line that is tangent to the graph of the given function at the point (c, f (c)) for the specified value of x = c.f(x) = x3 + √x; x = 4
In Exercises 5 through 12, evaluate the given expressions.a. (−128)3/7b. 27 2/3 64 64 25 3/2
Evaluate the following expressions without using tables or a calculator.a. ln e5b. eln 2c. e3 ln 4−ln 2d. ln 9e2 + ln 3e−2
Find all real numbers x that satisfy these equations. a. 4²x-x² b. e¹/x = 4 ,1/x c. d. || 1 64 log4x² = 2 25 1 + 2e-0.5t || 3
Simplify these expressions: a. (9x4y2)3/2 b. (3x²y4/3)-1/2 C. d. 3/2/12/3/2 y (x) (y¹/6) 0.2.-1.25 y (33 1.5 0.4
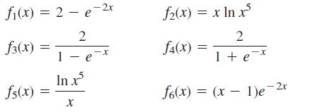
Each of the curves shown in Exercises 1 through 4 is the graph of one of the six functions listed here. In each case, match the given curve to the proper function. fi(x) = 2e-2x 2 f3(x) 1 - ex In x² f5(x) X f₂(x) = x ln x² 2 f4(x) 1 + ex fo(x) = (x - 1)e -2x
Each of the curves shown in Exercises 1 through 4 is the graph of one of the six functions listed here. In each case, match the given curve to the proper function. fi(x) = 2e-2x 2 f3(x) 1 - ex In x² f5(x) X f₂(x) = x ln x² 2 f4(x) 1 + ex fo(x) = (x - 1)e -2x
Evaluate these expressions: a. (3-3)(93) (27)2/3 3 8 b. √ (25)¹5 (27) 1.5 c. log₂ 4 + log4 16-1 8 -2/3, 3/2 16 (27) (19)* 81 d.
Sketch the curveson the same set of axes. = y = (3) and y= (-)
In Exercises 3 through 8, evaluate the given expression using properties of the natural logarithm.e2 ln 3
In Exercises 5 through 20, determine where the given function is increasing and decreasing and where its graph is concave upward and concave downward. Sketch the graph of the function. Show as many key features as possible (high and low points, points of inflection, vertical and horizontal
In Exercises 5 through 12, evaluate the given expressions.a. 272/3b. (1/9)3/2
Each of the curves shown in Exercises 1 through 4 is the graph of one of the six functions listed here. In each case, match the given curve to the proper function. fi(x) = 2e-2x 2 f3(x) 1 - ex In x² f5(x) X f₂(x) = x ln x² 2 f4(x) 1 + ex fo(x) = (x - 1)e -2x
In Exercises 1 through 38, differentiate the given function.f(x) = 30 + 10e−0.05x
In Exercises 5 through 20, determine where the given function is increasing and decreasing and where its graph is concave upward and concave downward. Sketch the graph of the function. Show as many key features as possible (high and low points, points of inflection, vertical and horizontal
At a certain factory, output Q is related to inputs u and v by the equationIf the current levels of input are u = 10 and v = 25, use calculus to estimate the change in input v that should be made to offset a decrease of 0.7 unit in input u so that output will be maintained at its current level.
In Exercises 1 through 38, differentiate the given function.f(x) = ex/x
Loni is standing on the bank of a river that is 1 mile wide and wants to get to a town on the opposite bank, 1 mile upstream. She plans to row on a straight line to some point P on the opposite bank and then walk the remaining distance along the bank. To what point P should Loni row to reach the
In Exercises 3 through 8, evaluate the given expression using properties of the natural logarithm.ln √e
In Exercises 3 through 8, evaluate the given expression using properties of the natural logarithm.eln 5
In Exercises 1 and 2, use your calculator to find the indicated power of e. (Round your answers to three decimal places.) e³, e1, e0.01, e-0.1, e², e-1/2, ¹/3, е and 341 - Ve
Each of the curves shown in Exercises 1 through 4 is the graph of one of the six functions listed here. In each case, match the given curve to the proper function. fi(x) = 2e-2x 2 f3(x) 1 - ex In x² f5(x) X f₂(x) = x ln x² 2 f4(x) 1 + ex fo(x) = (x - 1)e -2x
In Exercises 1 and 2, use your calculator to find the indicated power of e. -2 e², e ², 0.05 -0.05, eº, e, Ve, and - Ve
In Exercises 42 through 47, find the second derivative of the given function. In each case, use the appropriate notation for the second derivative and simplify your answer. y = 5√x + 3 + 1 3√x + 2
In Exercises 1 through 4, sketch the graph of the given exponential or logarithmic function without using calculus.f(x) = log3 x
In Exercises 1 through 38, differentiate the given function.f(x) = xex
In Exercises 1 through 4, sketch the graph of the given exponential or logarithmic function without using calculus.f(x) = ln x2
Sketch the curves y = 3x and y = 4x on the same set of axes.
In Exercises 1 through 38, differentiate the given function.f(x) = 3e4x+1
In Exercises 39 through 46, find an equation of the line that is tangent to the graph of f for the given value of x. f(x)= = X 3 Vx+ 2' ; x = - 1
In Exercises 33 through 38, diagrams indicating intervals of increase or decrease and concavity are given. Sketch a possible graph for a function with these characteristics. Sign of f'(x) ++++ 802 Sign of f'(x) ++++ + 0 + 0 ++++ X X
In Exercises 3 through 8, evaluate the given expression using properties of the natural logarithm.ln e3
In Exercises 41 through 46, find the rate of change of the given function f (x) with respect to x for the prescribed value x = c. f(x) x^ + x Vx ; x = 1
In Exercises 42 through 47, find the second derivative of the given function. In each case, use the appropriate notation for the second derivative and simplify your answer. || 2 3x V2x + V2x 1 6Vx
In Exercises 1 through 4, sketch the graph of the given exponential or logarithmic function without using calculus.f(x) = −2e−x
In Exercises 1 and 2, use your calculator to find the indicated natural logarithms.Find ln 7, ln 1/3, ln e−3, ln 1/e2.1 and ln 5√e. What happens if you try to find ln(−7) or ln(−e)?
In Exercises 1 through 38, differentiate the given function.f(x) = e5x
When electric toasters are sold for p dollars apiece, local consumers will buyIt is estimated that t months from now, the unit price of the toasters will be p(t) = 0.04t3/2 + 44 dollars. Compute the rate of change of the monthly demand for toasters with respect to time 25 months from now. Will the
In its early phase, specifically the period 1984–1990, the AIDS epidemic could be modeled* by the cubic function C(t) = −170.36t3 + 1,707.5t2 + 1,998.4t + 4,404.8 for 0 ≤ t ≤ 6 where C is the number of reported cases t years after the base year 1984.a. Compute and interpret the derivative
Prove that of all rectangles with a given perimeter, the square has the largest area.
In Exercises 1 through 4, sketch the graph of the given exponential or logarithmic function without using calculus.f(x) = 5x
In Exercises 39 through 46, find an equation of the line that is tangent to the graph of f for the given value of x. f(x) = = = x + 1 x-1 3 ; x = 3
In Exercises 39 through 46, find an equation of the line that is tangent to the graph of f for the given value of x. f(x) 1 (2x - x = 1 1)6¹ 16, x
In Exercises 41 through 46, find the rate of change of the given function f (x) with respect to x for the prescribed value x = c. 1 f(x) = x - √x + 2; x = 1 x²
Find two positive numbers whose sum is 50 and whose product is as large as possible.
What number is exceeded by its square root by the largest amount?
A manufacturer can produce digital recorders at a cost of $50 apiece. It is estimated that if the recorders are sold for p dollars apiece, consumers will buy q = 120 − p recorders each month.a. Express the manufacturer’s profit P as a function of q.b. What is the average rate of change in
In Exercises 42 through 47, find the second derivative of the given function. In each case, use the appropriate notation for the second derivative and simplify your answer. f(x) 2 ==X 5 - 4x³ + 9x² - 6x - 2
Estimate what will happen to the volume of a cube if the length of each side is decreased by 2%. Express your answer as a percentage.
A manufacturer determines that when x hundred units of a particular commodity are produced, the profit will beP(x) = 4000 (15 − x)(x − 2) dollarsa. Find P´(x).b. Determine where P´(x) = 0. What is the significance of the level of production xm where this occurs?
When the price of a certain commodity is p dollars per unit, customers demand x hundred units of the commodity, where x2 + 3px + p2 = 79 How fast is the demand x changing with respect to time when the price is $5 per unit and is decreasing at the rate of 30 cents per month?
Fill in the missing interpretations in the table using the example as a guide. Example If f(x) represents... The cost of producing x units of a particular commodity a. The revenue obtained when x units of a particular commodity are produced b. The amount of unexpended fuel (lbs) left in a rocket
In Exercises 41 through 46, find the rate of change of the given function f (x) with respect to x for the prescribed value x = c.f(x) = √x + 5x; x = 4
In Exercises 35 through 40, find the equation of the line that is tangent to the graph of the given function at the point (c, f (c)) for the specified value of x = c. f(x) = = ³²+ x³ + √8x; x = 2
Find h'(−1) ifwhere g(0) = 2 and g'(0) = −3. h(x) = p3 + xg(x) 3x - 5
The output of a certain plant is Q = 0.06x2 + 0.14xy + 0.05y2 units per day, where x is the number of hours of skilled labor used and y is the number of hours of unskilled labor used. Currently, 60 hours of skilled labor and 300 hours of unskilled labor are used each day. Use calculus to estimate
Fill in the missing interpretations in the table using the example as a guide. Example If f(t) represents... The number of bacteria in a colony at time t a. The temperature in San Francisco t hours after midnight on a certain day b. The blood alcohol level t hours after a person con- sumes an ounce
The level of air pollution in a certain city is proportional to the square of the population. Use calculus to estimate the percentage by which the air pollution level will increase if the population increases by 5%.
In Exercises 39 through 46, find an equation of the line that is tangent to the graph of f for the given value of x.f(x) = (x2 − 3)5(2x − 1)3; x = 2
The gross domestic product of a certain country was N(t) = t2 + 6t + 300 billion dollars t years after 2004. Use calculus to predict the percentage change in the GDP during the second quarter of 2012.
When the price of a certain commodity is p dollars per unit, the manufacturer is willing to supply x hundred units, where 3p2 − x2 = 12 How fast is the supply changing when the price is $4 per unit and is increasing at the rate of 87 cents per month?
In Exercises 42 through 47, find the second derivative of the given function. In each case, use the appropriate notation for the second derivative and simplify your answer. f(x) = 5x10 − 6x5 − 27x + 4
In Exercises 39 through 46, find an equation of the line that is tangent to the graph of f for the given value of x. f(x) = √3x + 4; x = 0
Let a. Compute the slope of the secant line joining the points where x = −1 and x = −1//2.b. Use calculus to compute the slope of the tangent line to the graph of f (x) at x = −1, and compare with the slope found in part (a). f(x) X x - 1
In Exercises 39 through 46, find an equation of the line that is tangent to the graph of f for the given value of x.f(x) = (3x2 + 1)2; x = −1
In Exercises 39 through 46, find an equation of the line that is tangent to the graph of f for the given value of x.f(x) = (9x − 1)−1/3; x = 1
At a certain factory, the daily output is Q(L) = 20,000L1/2 units, where L denotes the size of the labor force measured in worker-hours. Currently 900 worker-hours of labor are used each day. Use calculus to estimate the effect on output that will be produced if the labor force is cut to 885
Let s(t) = √ta. Find the average rate of change of s (t) with respect to t as t changes from t = 1 to t = 1/4.b. Use calculus to find the instantaneous rate of change of s(t) at t = 1, and compare with the average rate found in part (a).
In Exercises 41 through 46, find the rate of change of the given function f (x) with respect to x for the prescribed value x = c.f(x) = 2x4 + 3x + 1; x = −1
a. Differentiate the function y = 2x2 − 5x − 3.b. Now factor the function in part (a) as y = (2x + 1)(x − 3) and differentiate using the product rule. Show that the two answers are the same.
Showing 2800 - 2900
of 8662
First
22
23
24
25
26
27
28
29
30
31
32
33
34
35
36
Last
Step by Step Answers