Question: A project for improving a billing process has the following precedence relationships and activity times: Activity Activity Time (weeks) Immediate Predecessor(s) A 5 B 8
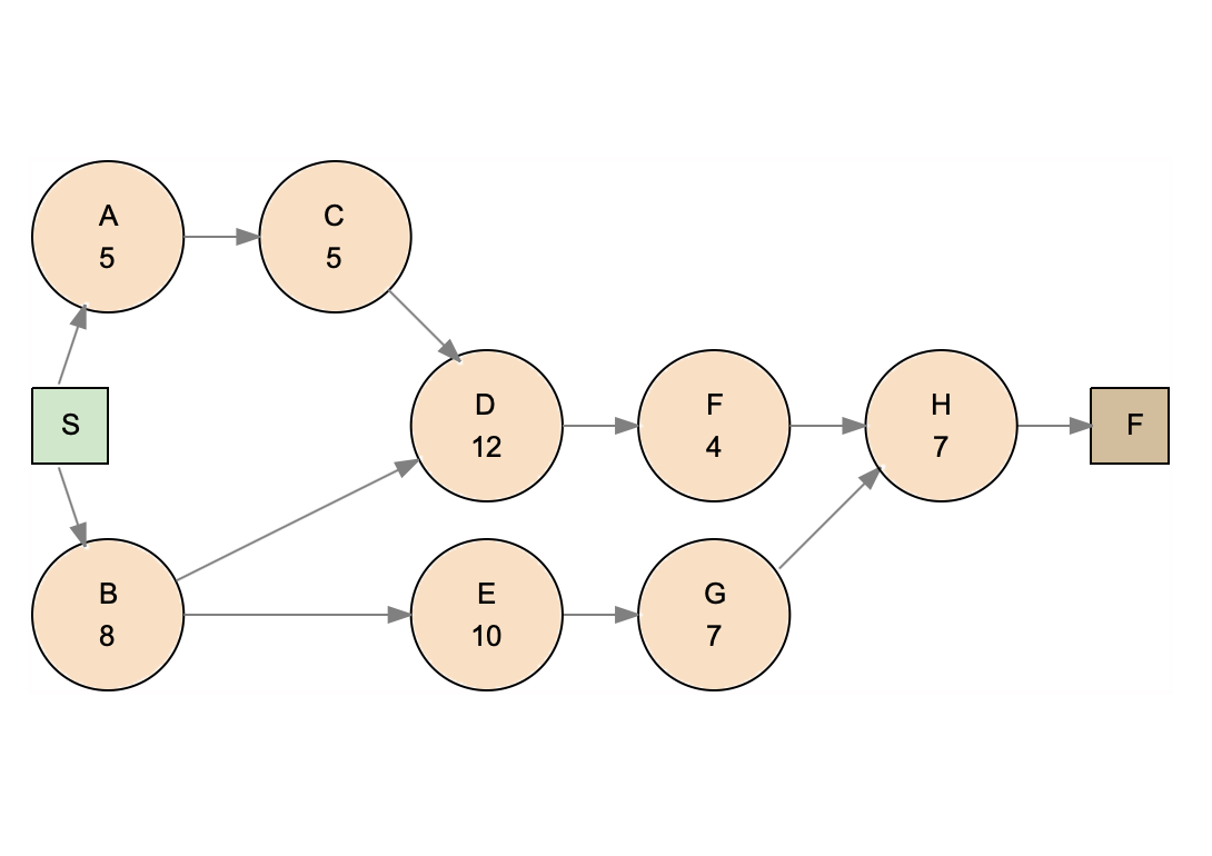
A project for improving a billing process has the following precedence relationships and activity times:
| Activity | Activity Time (weeks) | Immediate Predecessor(s) |
| A | 5 | |
| B | 8 | |
| C | 5 | A |
| D | 12 | B, C |
| E | 10 | B |
| F | 4 | D |
| G | 7 | E |
| H | 7 | F, G |

b. Calculate the slack for each activity. Which activities are on the critical path?
| Activity | Activity Time (weeks) | On criticalpath? | Slack (weeks) |
| A | 5 | No Yes | ? |
| B | 8 | Yes No | ? |
| C | 5 | Yes No | ? |
| D | 12 | Yes No | ? |
| E | 10 | Yes No | ? |
| F | 4 | No Yes | ? |
| G | 7 | Yes No | ? |
| H | 7 | Yes No | ? |
Step by Step Solution
There are 3 Steps involved in it
Get step-by-step solutions from verified subject matter experts
