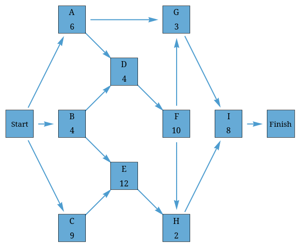
Question: A project network is shown in the figure. A project network with 11 activities and 15 directed arcs is shown. Activity Start is connected to
A project network is shown in the figure. A project network with 11 activities and 15 directed arcs is shown.
- Activity Start is connected to activity A, to activity B, and to activity C.
- Activity A is connected to activity D and to activity G.
- Activity B is connected to activity D and to activity E.
- Activity C is connected to activity E.
- Activity D is connected to activity F.
- Activity E is connected to activity H.
- Activity F is connected to activity G and to activity H.
- Activity G is connected to activity I.
- Activity H is connected to activity I.
- Activity I is connected to activity Finish.
- Activity Finish has no arcs directed to other activities.
Activities A-I have numeric values displayed under the Activity label. These values are given below:

Step by Step Solution
There are 3 Steps involved in it
Get step-by-step solutions from verified subject matter experts
