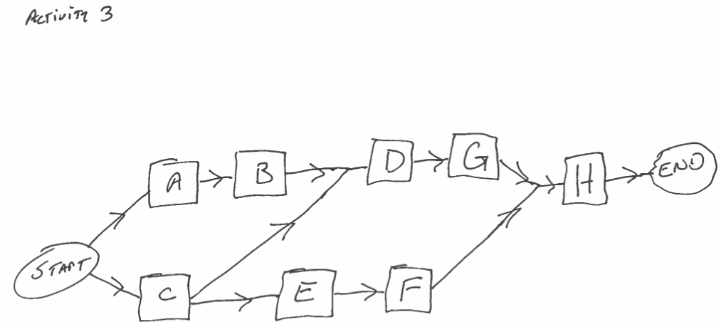
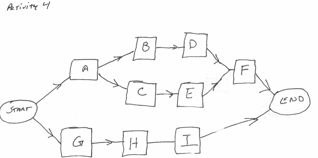
Question: Find and label each path for the network diagram on the page of the network diagram Find the total float for each path and put
-
Find and label each path for the network diagram on the page of the network
diagram
-
Find the total float for each path and put it beside the path. (IE Path ABCD = TS
4 where TS is the total slack or total float for path ABCD)
-
Find the critical path for the network diagram. Remember: It will have a TS of 0.



Step by Step Solution
There are 3 Steps involved in it
1 Expert Approved Answer
Step: 1 Unlock
Question Has Been Solved by an Expert!
Get step-by-step solutions from verified subject matter experts
Step: 2 Unlock
Step: 3 Unlock
