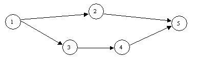
Question: Given a simple Project like the one pictured above. Optimistic / Most Likely / Pessimist Times were assessed and Path Means and Path Standard Deviations

Given a simple Project like the one pictured above. Optimistic / Most Likely / Pessimist Times were assessed and Path Means and Path Standard Deviations were calculated. For Path 1-2-5 we have a Path Mean = 28 and a Path Standard Deviation = 3. For Path 1-3-4-5 we have a Path Mean = 28 and a Path Standard Deviation = 4. Determine both the Probability that Path 1-2-5 will finish in 28 Days or Less and the Probability that the Project will finish in 28 Days or Less.
Options:
|
| 0.977249938 : 0.911962578 |
|
| 0.747507533 : 0.516873403 |
|
| 0.908788718 : 0.764604608 |
|
| 0.5 : 0.25 |
Step by Step Solution
There are 3 Steps involved in it
Get step-by-step solutions from verified subject matter experts
