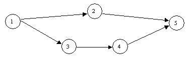
Question: Given a simple Project like the one pictured above. Optimistic / Most Likely / Pessimist Times were assessed and Path Means and Path Standard Deviations

Given a simple Project like the one pictured above. Optimistic / Most Likely / Pessimist Times were assessed and Path Means and Path Standard Deviations were calculated. For Path 1-2-5 we have a Path Mean = 29 and a Path Standard Deviation = 3. For Path 1-3-4-5 we have a Path Mean = 32 and a Path Standard Deviation = 4. Determine both the Probability that Path 1-2-5 will finish in 32 Days or Less and the Probability that the Project will finish in 32 Days or Less.
Question 5 options:
|
| 0.977249938 : 0.755778443 |
|
| 0.747507533 : 0.299970083 |
|
| 0.990184693 : 0.833086683 |
|
| 0.84134474 : 0.42067237 |
Step by Step Solution
There are 3 Steps involved in it
Get step-by-step solutions from verified subject matter experts
