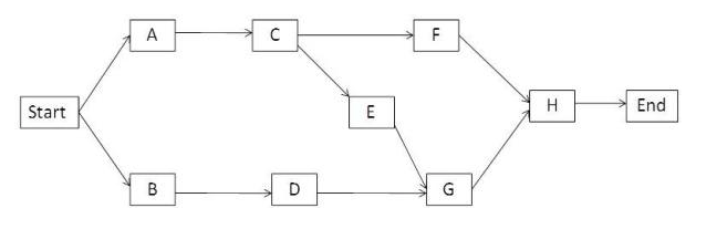
Question: Given is a CPM project network diagram as shown below. Activity Start A B C D E F G H End day 0 4 3
Given is a CPM project network diagram as shown below.
| Activity | Start | A | B | C | D | E | F | G | H | End |
| day | 0 | 4 | 3 | 7 | 5 | 2 | 5 | 8 | 4 | 0 |
a) The Project Completion time = ________ days. b) The Earliest Start time, ES, of Activity G = _________ days. c) The Latest Finish time, LF, of Activity C = __________ days. d) The critical activities are = _________ (ex. Fill in answer as: ABCD)
A F. Start E . End B B D D GStep by Step Solution
There are 3 Steps involved in it
Get step-by-step solutions from verified subject matter experts
