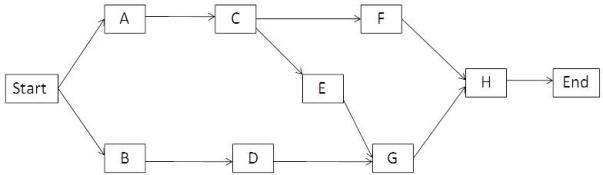
Question: Given is a CPM project network diagram as shown below. A C F Start m H End B D G
Given is a CPM project network diagram as shown below.

A C F Start m H End B D G
Step by Step Solution
There are 3 Steps involved in it
1 Expert Approved Answer
Step: 1 Unlock
Question Has Been Solved by an Expert!
Get step-by-step solutions from verified subject matter experts
Step: 2 Unlock
Step: 3 Unlock
