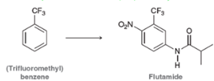
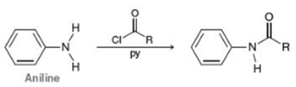
Chemistry Questions and Answers October 25, 2019

Expert-verified solutions to help you succeed