New Semester
Started
Get
50% OFF
Study Help!
--h --m --s
Claim Now
Question Answers
Textbooks
Find textbooks, questions and answers
Oops, something went wrong!
Change your search query and then try again
S
Books
FREE
Study Help
Expert Questions
Accounting
General Management
Mathematics
Finance
Organizational Behaviour
Law
Physics
Operating System
Management Leadership
Sociology
Programming
Marketing
Database
Computer Network
Economics
Textbooks Solutions
Accounting
Managerial Accounting
Management Leadership
Cost Accounting
Statistics
Business Law
Corporate Finance
Finance
Economics
Auditing
Tutors
Online Tutors
Find a Tutor
Hire a Tutor
Become a Tutor
AI Tutor
AI Study Planner
NEW
Sell Books
Search
Search
Sign In
Register
study help
mathematics
linear algebra and its applications
Linear Algebra And Its Applications 6th Global Edition David Lay, Steven Lay, Judi McDonald - Solutions
Mark each statement True or False (T/F). Justify each answer.(T/F) Every matrix transformation is a linear transformation.
Determine the value(s) of a such thatis linearly independent. 9 {[² + B] [R]}
Mark each statement True or False (T/F). Justify each answer.(T/F) If A is a 3 × 5 matrix and T is a transformation defined by T (x) = Ax, then the domain of T is R3.
Mark each statement True or False (T/F). Justify each answer.(T/F) If A is an m × n matrix, then the range of the transformation x → Ax is Rm.
Let T be the linear transformation whose standard matrix is given.Decide if T is a one-to-one mapping. -5 10 -5 8 3-4 88 4 -9 -3 -2 455 4 7 5-3 4
Let a and b represent real numbers. Describe the possible solution sets of the (linear) equation ax = b.
Mark each statement True or False (T/F). Justify each answer.(T/F) If T : Rn → Rm is a linear transformation and if c is in Rm, then a uniqueness question is “Is c in the range of T ?”
Construct a 2 x 3 matrix A, not in echelon form, such that t solution of Ax = 0 is a line in R³.
Mark each statement True or False (T/F). Justify each answer.(T/F) Every linear transformation is a matrix transformation.
The given matrix determines a linear transformation T. Find all x such that T (x) = 0. 4-2 จะ -9 -6 5 4 5 -5 0 3 7-8 in ∞ in ∞0 -3 5 8-4
Mark each statement True or False (T/F). Justify each answer.(T/F) A transformation T is linear if and only if T(C₁V₁ + C2V2) = C₁T (V₁) + C2T(V2) for all v₁ and v2 in the domain of T and for all scalars c₁ and c₂.
Let T be the linear transformation whose standard matrix is given.Decide if T maps R5 onto R5. 4 -7 6-8 3 7 5 5 12 -8 -7 10 -8 -9 14 3-5 4 2-6 6 -6 3 -5 -7
Mark each statement True or False (T/F). Justify each answer.(T/F) The superposition principle is a physical description of a linear transformation.
Let T be the linear transformation whose standard matrix is given.Decide if T is a one-to-one mapping. 5 4-9 6 16 -4 8 12 -8-6-2 7 10 12 568 7 75
Construct a 2 x 3 matrix A, not in echelon form, such that t solution of Ax = 0 is a plane in R³.
Suppose vectors V₁,..., Vp span Rn, and let T: Rn → Rn be a linear transformation. Suppose T(vi) = 0 for i = 1, ..., p.Show that I is the zero transformation. That is, show that ifx is any vector in Rn, then 7(x) = 0.
The given matrix determines a linear transformation T. Find all x such that T (x) = 0. -9 5 7 9 -4 -8 11 -7 -9 -7 4 6 16 -9 5 -4
The following equation describes a Givens rotation in R3. Find a and b. 1 = 29+ z" S 0 0 9 D-BE] ][ 9- 0
A Givens rotation is a linear transformation from Rn to Rn used in computer programs to create a zero entry in a vector (usually a column of a matrix). The standard matrix of a Givens rotation in R² has the form a -b [82] b a Find a and b such that a² + b² = 1 X₂ 10 24 is rotated into (10,
Column vectors are written as rows, such as x = (x₁, x₂), and T (x) is written as T(x₁, x₂).Let T: R³ → R³ be the transformation that projects each vector X = (X₁, X2, X3) onto the plane x₂ = 0, so T(x) = (x1, 0, x3). Show that T is a linear transformation.
Column vectors are written as rows, such asx = (x₁, x₂), and T (x) is written as T(x₁, x₂).Show that the transformation T defined by T(x1, x2)(4x1 - 2x2, 3|x₂|) is not linear.
Let T: R³ → R³ be the linear transformation that reflects each vector through the plane x₂ = 0. That is, T(x1, x2, x3) = (x1,-x2, x3). Find the standard matrix of T.
Column vectors are written as rows, such as x = (x₁, x₂), and T (x) is written as T(x₁, x₂).Show that the transformation T defined by T(x₁, x₂) (2x13x2, X1 + 4, 5x₂) is not linear.
Why is the question “Is the linear transformation T onto?” an existence question?
Suppose V₁, V2, V3 are distinct points on one line in R³. The line need not pass through the origin. Show that {V1, V2, V3}is linearly dependent.
Let T Rn → Rm be a linear transformation, and suppose T(u) = v. Show that T(-u) = -v.
Let A be a 3 x 3 matrix with the property that the linear transformation x → Ax maps R³ onto R³. Explain why the transformation must be one-to-one.
Let T be the linear transformation whose standard matrix is given.Decide if T maps R5 onto R5. 6-1 4 14 -6 -8 -9 12 -5 -9 -5 -6 -8 9 8 13 14 15 2 11 9 13 5 15 -7
a. Find the general traffic pattern in the freeway network shown in the figure. (Flow rates are in cars/minute.)b. Describe the general traffic pattern when the road whoseflow is x4 is closed.c. When x4 = 0, what is the minimum value of x1? 40 X1 200 ХА B X3 D 60 X2 X5 100
Determine if the vectors are linearly independent. Justify each answer. 9 [-][F]
Determine if the vectors are linearly independent. Justify each answer. 5 [][ 1 7 2 -6 -2 -1 6
Determine if the vectors are linearly independent. Justify each answer. 0 2 A 58 -8 D -3 4
Consider an economy with three sectors, Chemicals & Metals, Fuels & Power, and Machinery. Chemicals sells 30% of its output to Fuels and 50% to Machinery and retains the rest. Fuels sells 80% of its output to Chemicals and 10% to Machinery and retains the rest. Machinery sells 40% to
Suppose an economy has four sectors, Agriculture (A), Energy (E), Manufacturing (M), and Transportation (T). Sector A sells 10% of its output to E and 25% to M and retains the rest. Sector E sells 30% of its output to A, 35% to M, and 25% to T and retains the rest. Sector M sells 30% of its output
Determine if the vectors are linearly independent. Justify each answer. 28 ∞ 4
Determine if the columns of the matrix form a linearly independent set. Justify each answer. 0-8 3 -7 -1 5 1-3 44 5 -4 2
Determine if the columns of the matrix form a linearly independent set. Justify each answer. -4 -3 0-1 10 5 4 0 4 3 6
Determine if the columns of the matrix form a linearly independent set. Justify each answer. 1 4-3 -2 -7 5 -4 -5 7 5 0 1 15
When solutions of sodium phosphate and barium nitrate are mixed, the result is barium phosphate (as a precipitate) and sodium nitrate. The unbalanced equation is[For each compound, construct a vector that lists the numbers of atoms of sodium (Na), phosphorus, oxygen, barium, and nitrogen. For
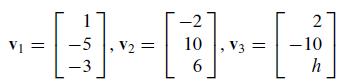
(a) for what values of h is v3 in Span {V1, V2)(b) for what values of h is {V1, V2, V3} linearly dependent? Justify each answer. -2 --[-]-[]---[-] -5 V2 10, V3 6 V₁ -3 2 -10 h
(a) for what values of h is v3 in Span {V1, V2)(b) for what values of h is {V1, V2, V3} linearlydependent? Justify each answer. ------ -3 V2 10 V3 2 -6 2 -7 h
Find the general flow pattern of the network shown in the figure. Assuming that the flows are all nonnegative, what is the largest possible value for x3? 20 80- X1 A C X3 X2 B X4
Determine if the columns of the matrix form a linearly independent set. Justify each answer. 1-3 -3 7 -1 0 1-4 3-2 23 2
Find the value(s) of h for which the vectors are linearly dependent. Justify each answer. -5 لا الله
Find the value(s) of h for which the vectors are linearly dependent. Justify each answer. 2 -6 8 HOO -4 7 h 1 -3 4
Find the value(s) of h for which the vectors are linearly dependent. Justify each answer. 5 -3 لیا -2 -9 6 3 h -9
The following reaction between potassium permanganate (KMnO4) and manganese sulfate in water produces manganese dioxide, potassium sulfate, and sulfuric acid:KMnO4 + MnSO4 + H2O → MnO2 + K2SO4 + H2SO4[For each compound, construct a vector that lists the numbers of atoms of potassium (K),
Determine by inspection whether the vectors are linearly independent. Justify each answer. 9 [][] 9
Find the value(s) of h for which the vectors are linearly dependent. Justify each answer. -6 HOW -3 8 7 -2 h
Determine by inspection whether the vectors are linearly independent. Justify each answer. [] [] [] [] 8
Determine by inspection whether the vectors are linearly independent. Justify each answer. 54 نا
Determine by inspection whether the vectors are linearly independent. Justify each answer. -8 2 [4] 12 -3 -4 -1
Determine by inspection whether the vectors are linearly independent. Justify each answer. 4 5 3 0
Describe the possible echelon forms of the matrix. Use the notation of Example 1,is a 3 × 3 matrix with linearly independent columns. - [₁ - EXAMPLE 1 Let A = 1-3 3 3 5 - - - - - - [ ] -- [] · u= 3 = 2 -5 2 and 5 -1 7 define a transformation T: R² → R³ by T(x) = Ax, so
Describe the possible echelon forms of the matrix. Use the notation of Example 1,A is a 2 × 2 matrix with linearly dependent columns. - [₁ - EXAMPLE 1 Let A = 1-3 3 5 - - - - - - [ ] -- [] · u= 3 = 2 -5 2 and 5 3 -1 7 define a transformation T: R² → R³ by T(x) = Ax, so
Describe the possible echelon forms of the matrix. Use the notation of Example 1,A is a 4 x 3 matrix, A = [a₁ a₂ a3], such that {a₁, a2} is linearly independent and a3 is not in Span {a₁, a₂}. - [₁ - EXAMPLE 1 Let A = 1-3 3 5 - - - - - - [ ] -- [] · u= 3 = 2 -5 2 and 5 3 -1
Describe the possible echelon forms of the matrix. Use the notation of Example 1,A is a 4 x 2 matrix, A = [a₁ a2], and a2 is not a multiple of a₁. - [₁ - EXAMPLE 1 Let A = 1-3 3 3 5 - - - - - - [ ] -- [] · u= 3 = 2 -5 2 and 5 -1 7 define a transformation T: R² → R³ by T(x) = Ax, so
Use as many columns of A as possible to construct a matrix B with the property that the equation Bx = 0 has only the trivial solution. Solve Bx = 0 to verify your work. A = 12 -7 -6 9 -4 -3 8 10 -6 -3 7 10 4 7-9 5 9 -9 -5 5 -1 16-8 9 7 -5 -9 11 -8
Mark each statement True or False (T/F). Justify each answer on the basis of a careful reading of the text.(T/F) The columns of a matrix A are linearly independent if the equation Ax = 0 has the trivial solution.
Mark each statement True or False (T/F). Justify each answer on the basis of a careful reading of the text.(T/F) Two vectors are linearly dependent if and only if they lie on a line through the origin.
Use as many columns of A as possible to construct a matrix B with the property that the equation Bx = 0 has only the trivial solution. Solve Bx = 0 to verify your work. A = 8-3 0 -7 -9 4 5 2 11 -7 TET° 7 6-2 2-4 5 -1 4 0 10
Mark each statement True or False (T/F). Justify each answer on the basis of a careful reading of the text.(T/F) If S is a linearly dependent set, then each vector is a linear combination of the other vectors in S.
Mark each statement True or False (T/F). Justify each answer on the basis of a careful reading of the text.(T/F) If a set contains fewer vectors than there are entries in the vectors, then the set is linearly independent.
Should be solved without performing row operations.Givenobserve that the first column plus three times the second column equals the third column. Find a nontrivial solution of Ax = 0. A = 5 -9 1 155 6 -5 8 6 -9
Mark each statement True or False (T/F). Justify each answer on the basis of a careful reading of the text.(T/F) The columns of any 4 × 5 matrix are linearly dependent.
Mark each statement True or False (T/F). Justify each answer on the basis of a careful reading of the text.(T/F) If x and y are linearly independent, and if z is in Span {x, y}, then {x,y, z} is linearly dependent.
Each statement is either true (in all cases) or false (for at least one example). If false, construct a specific example to show that the statement is not always true. Such an example is called a counterexample to the statement. If a statement is true, give a justification. (T/F-C) If V₁,..., V4
Mark each statement True or False (T/F). Justify each answer on the basis of a careful reading of the text.(T/F) If x and y are linearly independent, and if {x, y, z} is linearly dependent, then z is in Span {x, y}.
Mark each statement True or False (T/F). Justify each answer on the basis of a careful reading of the text.(T/F) If a set in Rn is linearly dependent, then the set contains more vectors than there are entries in each vector.
How many pivot columns must a 7 × 5 matrix have if its columns are linearly independent? Why?
How many pivot columns must a 5 × 7 matrix have if its columns span R5? Why?
Each statement is either true (in all cases) or false (for at least one example). If false, construct a specific example to show that the statement is not always true. Such an example is called a counterexample to the statement. If a statement is true, give a justification.(T/F-C) If V₁,..., V4
With A and B as in Exercise 47 select a column v of A that was not used in the construction of B and determine if v is in the set spanned by the columns of B. Data from in Exercise 47Use as many columns of A as possible to construct a matrix B with the property that the equation Bx = 0 has only
Each statement is either true (in all cases) or false (for at least one example). If false, construct a specific example to show that the statement is not always true. Such an example is called a counterexample to the statement. If a statement is true, give a justification.(T/F-C) If V₁,..., V4
Each statement is either true (in all cases) or false (for at least one example). If false, construct a specific example to show that the statement is not always true. Such an example is called a counterexample to the statement. If a statement is true, give a justification.(T/F-C) If V₁,..., V4
Each statement is either true (in all cases) or false (for at least one example). If false, construct a specific example to show that the statement is not always true. Such an example is called a counterexample to the statement. If a statement is true, give a justification.(T/F-C) If V₁ and v₂
Each statement is either true (in all cases) or false (for at least one example). If false, construct a specific example to show that the statement is not always true. Such an example is called a counterexample to the statement. If a statement is true, give a justification.(T/F-C) If V₁,..., V4
Suppose an m x n matrix A has n pivot columns. Explain why for each b in Rm the equation Ax = b has at most one solution.
Solve the systems XI - 3x3 = 2x1 + 2x2 + 9x3 = x₂ + 5x3 = 8 7 -2
You may find it helpful to review the information in the Reasonable Answers box from this section before answering.Verify that the solutions you found to Exercise 12 are indeed homogeneous solutions.Data from in exercise 12Describe all solutions of Ax = 0 in parametric vector form, where A is row
You may find it helpful to review the information in the Reasonable Answers box from this section before answering.Verify that the solutions you found to Exercise 11 are indeed homogeneous solutions.Data from in exercise 11Describe all solutions of Ax = 0 in parametric vector form, where A is row
Suppose the solution set of a certain system of linear equations can be described as x₁ = 5 + 4x3, x₂ = -2 - 7x3,with x3 free. Use vectors to describe this set as a line in R³.
Describe and compare the solution sets of x1 + 9x2 - 4x3 = 0 and x₁ + 9x2 - 4x3 = -2.
Suppose the solution set of a certain system of linear equations can be described as x₁ = 3x4, x₂ = 8 + x4,x3 = 2 - 5x4, with x4 free. Use vectors to describe this set as a line in R4.
Compute the products using (a) the definition, as in Example 1 (b) the row–vector rule for computing Ax. If a product is undefined, explain why. EXAMPLE 1 The elimination procedure is shown here with and without matrix nota- tion, and the results are placed side by side for comparison: x12x2 + x3
Compute the products using (a) the definition, as in Example 1 (b) the row–vector rule for computing Ax. If a product is undefined, explain why. EXAMPLE 1 The elimination procedure is shown here with and without matrix nota- tion, and the results are placed side by side for comparison: x12x2 + x3
Compute the products using (a) the definition, as in Example 1 (b) the row–vector rule for computing Ax. If a product is undefined, explain why. EXAMPLE 1 The elimination procedure is shown here with and without matrix nota- tion, and the results are placed side by side for comparison: x12x2 + x3
Compute the products using (a) the definition, as in Example 1 (b) the row–vector rule for computing Ax. If a product is undefined, explain why. EXAMPLE 1 The elimination procedure is shown here with and without matrix nota- tion, and the results are placed side by side for comparison: x12x2 + x3
You may find it helpful to review the information in the Reasonable Answers box from this section before answering.Verify that the solutions you found to Exercise 10 are indeed homogeneous solutions.Data from in exercise 10Describe all solutions of Ax = 0 in parametric vector form, where A is row
You may find it helpful to review the information in the Reasonable Answers box from this section before answering.Verify that the solutions you found to Exercise 9 are indeed homogeneous solutions.Data from in exercise 9 Describe all solutions of Ax = 0 in parametric vector form, where A is row
Solve the systems X1 - 3x₂ -x₁ + = 5 x₂ + 5x3 = 2 x₂ + x3 = 0
Find a parametric equation of the line M through p and q. ヤー E [ - ] = b[ - ] = a d 9-
Find a parametric equation of the line M through p and q. P = Р 2 [³] = [] -5 9=
Find the parametric equation of the line through a parallel to b. 5 · [2] · b = [~ ,b -2 9 a=
Find the parametric equation of the linethrough a parallel to b. 103 -5 a= -] = [²_- ] =
Describe and compare the solution sets of x1 - 3x2 + 5x3 = 0 and x₁ - 3x₂ + 5x3 = 4.
Givenfind one nontrivial solution of Ax = 0 by inspection. A = -2 7 -3 -6 21 -9
Prove the second part of Theorem 6: Let w be any solution of Ax = b, and define vh = w - p. Show that vh is a solution of Ax = 0. This shows that every solution of Ax = b has the form w = p + Vh, with p a particular solution of Ax = b andVh a solution of Ax = 0.Data from in Theorem 6 Suppose the
Givenfind one nontrivial solution of Ax = 0 by inspection. A = 4 -8 86 -6 12 -9
Mark each statement True or False (T/F). Justify each answer.(T/F) If x is a nontrivial solution of Ax = 0, then every entry in x is nonzero.
Showing 2000 - 2100
of 2241
First
9
10
11
12
13
14
15
16
17
18
19
20
21
22
23
Step by Step Answers