New Semester
Started
Get
50% OFF
Study Help!
--h --m --s
Claim Now
Question Answers
Textbooks
Find textbooks, questions and answers
Oops, something went wrong!
Change your search query and then try again
S
Books
FREE
Study Help
Expert Questions
Accounting
General Management
Mathematics
Finance
Organizational Behaviour
Law
Physics
Operating System
Management Leadership
Sociology
Programming
Marketing
Database
Computer Network
Economics
Textbooks Solutions
Accounting
Managerial Accounting
Management Leadership
Cost Accounting
Statistics
Business Law
Corporate Finance
Finance
Economics
Auditing
Tutors
Online Tutors
Find a Tutor
Hire a Tutor
Become a Tutor
AI Tutor
AI Study Planner
NEW
Sell Books
Search
Search
Sign In
Register
study help
mathematics
precalculus 1st
Calculus For Scientists And Engineers Early Transcendentals 1st Edition William L Briggs, Bernard Gillett, Bill L Briggs, Lyle Cochran - Solutions
Evaluate the following geometric sums. 20 Σ(-1)* k=0
Find the limit of the following sequences or determine that the limit does not exist. {csc ¹n}
Evaluate the following geometric sums. + 419 + 1 +
Evaluate the geometric series or state that it diverges. |
Find the limit of the following sequences or determine that the limit does not exist. {.(i)}
Evaluate the geometric series or state that it diverges. 00 Σε k=1 ₂-2k
Find the limit of the following sequences or determine that the limit does not exist. {(₁-4)²} n
Evaluate the geometric series or state that it diverges. 00 m=2 5 2m
Find the limit of the following sequences or determine that the limit does not exist. {bn} where bn [n/(n + 1) ifn ≤ 5000 [ne-n if n > 5000
Evaluate the geometric series or state that it diverges. 00 Σ2-3* k=1
Find the limit of the following sequences or determine that the limit does not exist. n {(₁ + ²)"}
Find the limit of the following sequences or determine that the limit does not exist. n 1 {√(1 + 2)"} 2n
Find the limit of the following sequences or determine that the limit does not exist. {(n + 5)²}
Write the first four terms of the sequence {an} defined by the following recurrence relations. an+1 = a₁2² - 1; a₁ = 1 an
Write the first four terms of the sequence {an} defined by the following recurrence relations. an+1 = 2 3a²+n+ 1; a₁ = 0
Find the limit of the following sequences or determine that the limit does not exist. Зи {(₁ -A)³} 1 + n
Write the first four terms of the sequence {an} defined by the following recurrence relations. an+1 = anan-1; a₁ = 1, ao = 1
Evaluate the geometric series or state that it diverges. 8 00 k=0 2k 二 75
Find the limit of the following sequences or determine that the limit does not exist. n en + 3n
Evaluate the geometric series or state that it diverges. 00 k=0 1.01k
Find the limit of the following sequences or determine that the limit does not exist. In (1/n) n
Several terms of a sequenceare given.a. Find the next two terms of the sequence.b. Find a recurrence relation that generates the sequence (supply the initial value of the index and the first term of the sequence).c. Find an explicit formula for the general nth term of the sequence. {an}"= = 1
Evaluate the geometric series or state that it diverges. 8 00 k=3 3.4k 가
Find the limit of the following sequences or determine that the limit does not exist. {In sin (1/n) + In n}
Find the limit of the following sequences or determine that the limit does not exist. {In (n³ + 1) In (3n³ + 10n)}
Several terms of a sequenceare given.a. Find the next two terms of the sequence.b. Find a recurrence relation that generates the sequence (supply the initial value of the index and the first term of the sequence).c. Find an explicit formula for the general nth term of the sequence. {an}"= = 1
Evaluate the geometric series or state that it diverges. -| 1 k=45k
Several terms of a sequenceare given.a. Find the next two terms of the sequence.b. Find a recurrence relation that generates the sequence (supply the initial value of the index and the first term of the sequence).c. Find an explicit formula for the general nth term of the sequence. {an}"= = 1
Find the limit of the following sequences or determine that the limit does not exist. {n sin (6/n)}
Find the limit of the following sequences or determine that the limit does not exist. {((u/1) sox - 1)u}
Evaluate the geometric series or state that it diverges. k=0 3. -k
Evaluate the geometric series or state that it diverges. E | نه 8
Find the limit of the following sequences or determine that the limit does not exist. [(-1)" n
Evaluate the geometric series or state that it diverges. 00 k=1 3k-1 4k+1
Find the limit of the following sequences or determine that the limit does not exist. S(-1)^²+1 n²) 2n³ + n
Find the limit of the following sequences or determine that the limit does not exist. [(-1)^n) n + 1.
Evaluate the geometric series or state that it diverges. k=0 9 10, k
Evaluate the geometric series or state that it diverges. 8 k=0 4) 56-k
Evaluate the geometric series or state that it diverges. 3k m 100
Evaluate the geometric series or state that it diverges. k=1 al 3 k
Write the terms a1, a2, a3, and a4 of the following sequences. If the sequence appears to converge, make a conjecture about its limit. If the sequence diverges, explain why. an+1 = 1 + an 2 0 = 2
Evaluate the geometric series or state that it diverges. 3Σ (-1)k k k=0 TT
Write the terms a1, a2, a3, and a4 of the following sequences. If the sequence appears to converge, make a conjecture about its limit. If the sequence diverges, explain why. an+1 = 1-an; ao = 1/
Evaluate the geometric series or state that it diverges. 00 Σ(e)* k=1 k
Write the terms a1, a2, a3, and a4 of the following sequences. If the sequence appears to converge, make a conjecture about its limit. If the sequence diverges, explain why. an+1 = 0.5an + 50; ao 100
Evaluate the geometric series or state that it diverges. 00 Σ(-0.15) k=2
Find the limit of the following sequences or determine that the limit does not exist. Verify your result with a graphing utility. an || e-n е 2 sin (e")
Evaluate the geometric series or state that it diverges. 3k I=Y 8 (†-)&
Write each repeating decimal first as a geometric series and then as a fraction (a ratio of two integers). 0.3 = 0.333...
Find the limit of the following sequences or determine that the limit does not exist. Verify your result with a graphing utility. an = encos n
Write each repeating decimal first as a geometric series and then as a fraction (a ratio of two integers). 0.6 = 0.666...
Find the limit of the following sequences or determine that the limit does not exist. Verify your result with a graphing utility. In n 1.1. n
Write each repeating decimal first as a geometric series and then as a fraction (a ratio of two integers). 0.1 = 0.111...
Write each repeating decimal first as a geometric series and then as a fraction (a ratio of two integers). 0.5 = 0.555...
Find the limit of the following sequences or determine that the limit does not exist. Verify your result with a graphing utility. an = cot NTT 2n + 2
Find the limit of the following sequences or determine that the limit does not exist. Verify your result with a graphing utility. an = (-1)" Wn
Determine whether the following sequences converge or diverge and describe whether they do so monotonically or by oscillation. Give the limit when the sequence converges. {0.2"}
Write each repeating decimal first as a geometric series and then as a fraction (a ratio of two integers). 0.09 = 0.090909..
Write each repeating decimal first as a geometric series and then as a fraction (a ratio of two integers). 0.27 0.272727...
Consider the formulas for the following sequences. Using a calculator, make a table with at least 10 terms and determine a plausible value for the limit of the sequence or state that it does not exist. an 2" sin (2"); n = 1, 2, 3, ...
Write each repeating decimal first as a geometric series and then as a fraction (a ratio of two integers). 0.037 0.037037...
Determine whether the following sequences converge or diverge and describe whether they do so monotonically or by oscillation. Give the limit when the sequence converges. {1.2"}
Determine whether the following sequences converge or diverge and describe whether they do so monotonically or by oscillation. Give the limit when the sequence converges. {(-0.7)"}
Write each repeating decimal first as a geometric series and then as a fraction (a ratio of two integers). 0.12 = 0.121212...
Write each repeating decimal first as a geometric series and then as a fraction (a ratio of two integers). 0.027 = 0.027027..
Determine whether the following sequences converge or diverge and describe whether they do so monotonically or by oscillation. Give the limit when the sequence converges. {(-1.01)"}
Write each repeating decimal first as a geometric series and then as a fraction (a ratio of two integers). 1.25 = 1.252525...
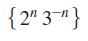
Determine whether the following sequences converge or diverge and describe whether they do so monotonically or by oscillation. Give the limit when the sequence converges. {2" 3"}
Squeeze Theorem Find the limit of the following sequences or state that they diverge.Data from in Squeeze Theorem sin 6n 5n
Squeeze Theorem Find the limit of the following sequences or state that they diverge.Data from in Squeeze Theorem cos n n
Consider the following recurrence relations. Using a calculator, make a table with at least 10 terms and determine a plausible value for the limit of the sequence or state that it does not exist. an = 4 n-1 3; do 1
Squeeze Theorem Find the limit of the following sequences or state that they diverge.Data from in Squeeze Theorem sin n 2"
For the following telescoping series, find a formula for the nth term of the sequence of partial sums {Sn}. Then evaluate to obtain the value of the series or state that the series diverges. lim Sn 00-11 -U
Squeeze Theorem Find the limit of the following sequences or state that they diverge.Data from in Squeeze Theorem [cos (nπ/2)) Vn
For the following telescoping series, find a formula for the nth term of the sequence of partial sums {Sn}. Then evaluate to obtain the value of the series or state that the series diverges. lim Sn 00-11 -U
Determine whether the following sequences converge or diverge and describe whether they do so monotonically or by oscillation. Give the limit when the sequence converges. {(-2.5)"}
Squeeze Theorem Find the limit of the following sequences or state that they diverge.Data from in Squeeze Theorem 2 tan n n³ + 4
Squeeze Theorem Find the limit of the following sequences or state that they diverge.Data from in Squeeze Theorem 'n sin³ n {n+1]
Consider the following recurrence relations. Using a calculator, make a table with at least 10 terms and determine a plausible value for the limit of the sequence or state that it does not exist. ant1 an 2 = do 32
Consider the following recurrence relations. Using a calculator, make a table with at least 10 terms and determine a plausible value for the limit of the sequence or state that it does not exist. an+1 = VI+an; ao = 1
For the following telescoping series, find a formula for the nth term of the sequence of partial sums {Sn}. Then evaluate to obtain the value of the series or state that the series diverges. lim S₁₁ 00-11 n
Use Theorem 9.6 to find the limit of the following sequences or state that they diverge.Data from in Theorem 9.6 n! n
For the following telescoping series, find a formula for the nth term of the sequence of partial sums {Sn}. Then evaluate to obtain the value of the series or state that the series diverges. lim S₁₁ 00-11 n
Use the formal definition of the limit of a sequence to prove the following limits.Data from in Definition 1 lim = 0 n-00 n
Use the formal definition of the limit of a sequence to prove the following limits.Data from in Definition lim = 0 1 2 n→∞ n
Evaluate the series or state that it diverges. 00 In((k + 1)k-¹) (Ink) In (k + 1)
Use Theorem 9.6 to find the limit of the following sequences or state that they diverge.Data from in Theorem 9.6 1000 n {12} n 2"
For the following telescoping series, find a formula for the nth term of the sequence of partial sums {Sn}. Then evaluate to obtain the value of the series or state that the series diverges. lim S₁₁ 00-11 n
For the following telescoping series, find a formula for the nth term of the sequence of partial sums {Sn}. Then evaluate to obtain the value of the series or state that the series diverges. lim S₁₁ 00-11 n
Use Theorem 9.6 to find the limit of the following sequences or state that they diverge.Data from in Theorem 9.6 n 10 In ¹000 n
For the following telescoping series, find a formula for the nth term of the sequence of partial sums {Sn}. Then evaluate to obtain the value of the series or state that the series diverges. lim S₁₁ 00-11 n
Use Theorem 9.6 to find the limit of the following sequences or state that they diverge.Data from in Theorem 9.6 n10 In 20 n
For the following telescoping series, find a formula for the nth term of the sequence of partial sums {Sn}. Then evaluate to obtain the value of the series or state that the series diverges. lim S₁₁ 00-11 n
Use Theorem 9.6 to find the limit of the following sequences or state that they diverge.Data from in Theorem 9.6 3n n!
Consider the following infinite series.a. Write out the first four terms of the sequence of partial sums.b. Estimate the limit of {Sn} or state that it does not exist. 00 Σ (1)* k=1
Use the formal definition of the limit of a sequence to prove the following limits.Data from in Definition си lim no bn + 1 C for real numbers c> 0 and b > 0 b'
Consider the following infinite series.a. Write out the first four terms of the sequence of partial sums.b. Estimate the limit of {Sn} or state that it does not exist. Σ (-1)* κ k=1
Consider the following infinite series.a. Write out the first four terms of the sequence of partial sums.b. Estimate the limit of {Sn} or state that it does not exist. 00 k= 3 10k
Evaluate the limit of the following sequences. an || n [x 1 x-² dx
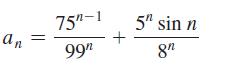
Evaluate the limit of the following sequences. an 75"-1 99n + 5" sin n 8n
Showing 1500 - 1600
of 8578
First
9
10
11
12
13
14
15
16
17
18
19
20
21
22
23
Last
Step by Step Answers