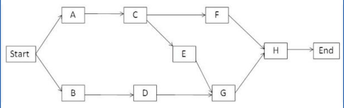
Question: a) The Project Completion time = Blank days.) b) The Earliest Start time, ES, of Activity G = Blank days. c) The Latest Finish time,


a) The Project Completion time = Blank days.)
b) The Earliest Start time, ES, of Activity G = Blank days.
c) The Latest Finish time, LF, of Activity C = Blank days.
d) The critical activities are = Blank (ex. Fill in the answer as: ABCD)
\begin{tabular}{l|l|l|l|l|l|l|l|l|l|l} A & S & & & & & & & & & \\ c & S & & & & & & & & & \\ ti & t & & & & & & & & & E \\ v & a & A & B & C & D & E & F & G & H & n \\ it & r & & & & & & & & & d \\ y & t & & & & & & & & & \\ \hline d & & & & & & & & & & \\ a & 0 & 3 & 4 & 7 & 4 & 3 & 4 & 5 & 4 & 0 \\ y & & & & & & & & & & \\ s & & & & & & & & & \end{tabular}
Step by Step Solution
There are 3 Steps involved in it
Get step-by-step solutions from verified subject matter experts
