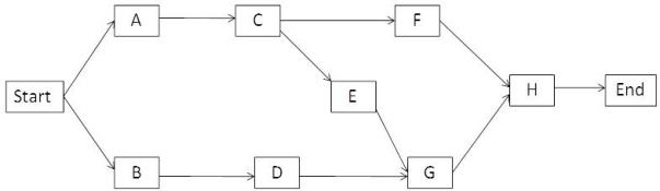
Question: Given is a CPM project network diagram as shown below. Activity Start A B C D E F G H End days 0 4 5
Given is a CPM project network diagram as shown below.
Activity | Start | A | B | C | D | E | F | G | H | End |
days | 0 | 4 | 5 | 5 | 7 | 6 | 6 | 5 | 6 | 0 |
a) The Project Completion time = Blank 1 days.
b) The Earliest Start time, ES, of Activity G = Blank 2 days.
c) The Latest Finish time, LF, of Activity C = Blank 3 days.

A C F Start E H End B D G
Step by Step Solution
There are 3 Steps involved in it
Get step-by-step solutions from verified subject matter experts
