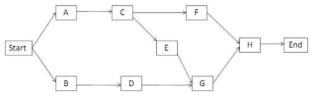
Question: Given is a CPM project network diagram as shown below. Activity Start A B C D E F G H End days 0 2 6
Given is a CPM project network diagram as shown below.
| Activity | Start | A | B | C | D | E | F | G | H | End |
| days | 0 | 2 | 6 | 8 | 3 | 4 | 2 | 3 | 2 | 0 |
a) The Project Completion time = _______________ days. b) The Earliest Start time, ES, of Activity G = ___________ days. c) The Latest Finish time, LF, of Activity C = _____________ days. d) The critical activities are = ________________ (ex. Fill in answer as: ABCD)
D Start E H End B D GStep by Step Solution
There are 3 Steps involved in it
Get step-by-step solutions from verified subject matter experts
