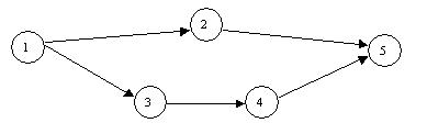
Question: TIMES (days) Activity Start Node Finish Node OPTIMISTIC t o MOST LIKELY t m PESSIMISTIC t p A 1 2 28 34 46 B 1

TIMES (days) Activity Start Node Finish Node

TIMES (days)

Activity

Start Node

Finish Node

OPTIMISTIC

to

MOST LIKELY

tm

PESSIMISTIC

tp

A

1

2

28

34

46

B

1

3

15

27

51

C

2

5

10

22

34

D

3

4

27

39

63

E

4

5

12

33

54

Given the Activity on Arrow Diagram and the data found in the table above, calculate each of the following values: Activity Ate = 35 Standard Deviation = 3 Activity Bte =

Standard Deviation =

Activity Cte =

Standard Deviation =

Activity Dte =

Standard Deviation =

Activity Ete =

Standard Deviation = 7 Path 1 2 5 Mean Time =

Standard Deviation =5 Path 1 3 4 5 Mean Time =

Standard Deviation =

Step by Step Solution

There are 3 Steps involved in it

1 Expert Approved Answer
Step: 1 Unlock blur-text-image
Question Has Been Solved by an Expert!

Get step-by-step solutions from verified subject matter experts

Step: 2 Unlock
Step: 3 Unlock

Students Have Also Explored These Related General Management Questions!