New Semester
Started
Get
50% OFF
Study Help!
--h --m --s
Claim Now
Question Answers
Textbooks
Find textbooks, questions and answers
Oops, something went wrong!
Change your search query and then try again
S
Books
FREE
Study Help
Expert Questions
Accounting
General Management
Mathematics
Finance
Organizational Behaviour
Law
Physics
Operating System
Management Leadership
Sociology
Programming
Marketing
Database
Computer Network
Economics
Textbooks Solutions
Accounting
Managerial Accounting
Management Leadership
Cost Accounting
Statistics
Business Law
Corporate Finance
Finance
Economics
Auditing
Tutors
Online Tutors
Find a Tutor
Hire a Tutor
Become a Tutor
AI Tutor
AI Study Planner
NEW
Sell Books
Search
Search
Sign In
Register
study help
engineering
engineering mechanics dynamics
Engineering Mechanics - Dynamics 11th Edition R. C. Hibbeler - Solutions
The jet car is originally traveling at speed v0 when it is subjected to the acceleration shown in the graph. Determine the car’s maximum speed and the time t when it stops. Given: Vo = 20 ao 10 = m S m 2 S t1 = 20 s
The v–s graph was determined experimentally to describe the straight-line motion of a rocket sled. Determine the acceleration of the sled at s = s3 and s = s4. Given: VI = 20 v2 = 60 EI S E S $3 = 100 m $1 = 50 m $2 = 300 m $4 = 200 m
The v–s graph for a test vehicle is shown. Determine its acceleration at s = s3 and s4. Given: VI = 50 m S s] = 150 m $3 = 100 m $2 = 200 m s4 = 175 m
A particle travels along the curve from A to B in time t1. If it takes time t2 for it to go from A to C, determine its average velocity when it goes from B to C. Given: t₁ = 1 s t1 12 = 3 s r = 20 m
Starting from rest at s = 0, a boat travels in a straight line with an acceleration as shown by the a-s graph. Determine the boat’s speed when s = s4, s5, and s6. Given: $1 = 50 ft $2 = 150 ft $3 = 250 ft $4 = 40 ft $5 = 90 ft 56 = 200 ft $6 a] = 2 a2 = 4 ft 2 S ft 2 S
The velocity of a particle is given by v = [at2i + bt3j + (ct + d)k]. If the particle is at the origin when t = 0, determine the magnitude of the particle's acceleration when t = t1. Also, what is the x, y, z coordinate position of the particle at this instant? Given: = 16 a = m 3 S b = 4 m 4 S c =
A particle travels along the curve from A to B in time t1. It takes time t2 for it to go from B to C and then time t3 to go from C to D. Determine its average speed when it goes from A to D. Given: t₁ = 2 s t2 = 4 s r = 10 m d = 15 m
A particle is traveling with a velocity ofDetermine the magnitude of the particle’s displacement from t = 0 to t1. Use Simpson’s rule with n steps to evaluate the integrals. What is the magnitude of the particle’s acceleration when t = t2? Given: = (a√₁e²¹ + + ceª²²]). Cavie di V = j.
The position of a particle is defined by r = {a cos(bt) i + c sin(bt) j}. Determine the magnitudes of the velocity and acceleration of the particle when t = t1. Also, prove that the path of the particle is elliptical. Given: a = 5 m b = 2 rad S = 4 m C = t₁ = 1 s
A car traveling along the straight portions of the road has the velocities indicated in the figure when it arrives at points A, B, and C. If it takes time tAB to go from A to B, and then time tBC to go from B to C, determine the average acceleration between points A and B and between points A and
When a rocket reaches altitude h1 it begins to travel along the parabolic path (y − h1)2 = b x. If the component of velocity in the vertical direction is constant at vy = v0, determine the magnitudes of the rocket’s velocity and acceleration when it reaches altitude h2. Given: hj = 40 m b =
A particle, originally at rest and located at point (a, b, c), is subjected to an acceleration ac = {d t i + e t2 k}. Determine the particle's position (x, y, z) at time t1. Given: a = 3 ft b = 2 ft c = 5 ft d = 6 e = 12 t1 = 1 s
The balloon A is ascending at rate vA and is being carried horizontally by the wind at vw. If a ballast bag is dropped from the balloon when the balloon is at height h, determine the time needed for it to strike the ground. Assume that the bag was released from the balloon with the same velocity as
A car travels east a distance d1 for time t1, then north a distance d2 for time t2 and then west a distance d3 for time t3. Determine the total distance traveled and the magnitude of displacement of the car. Also, what is the magnitude of the average velocity and the average speed? Given: d₁ = 2
A particle moves along the curve y = aebx such that its velocity has a constant magnitude of v = v0. Determine the x and y components of velocity when the particle is at y = y1. Given: a = 1 ft b = 2 ft VO = 4. - S y1 = 5 ft yl
Determine the minimum speed of the stunt rider, so that when he leaves the ramp at A he passes through the center of the hoop at B. Also, how far h should the landing ramp be from the hoop so that he lands on it safely at C ? Neglect the size of the motorcycle and rider. Given: a = 4 ft b = 24 ft c
The man stands a distance d from the wall and throws a ball at it with a speed v0. Determine the angle θ at which he should release the ball so that it strikes the wall at the highest point possible. What is this height? The room has a ceiling height h2. Given: d = 60 ft v0 = 50 ft 8 = 32.2 S h1 =
At the instant shown particle A is traveling to the right at speed v1 and has an acceleration a1. Determine the initial speed v0 of particle B so that when it is fired at the same instant from the angle shown it strikes A. Also, at what speed does it strike A? Given: VI = 10 ft S b = 3 h = 100
Determine the height h on the wall to which the firefighter can project water from the hose, if the angle θ is as specified and the speed of the water at the nozzle is vC. Given: VC = 48 h1 = 3 ft ft d = 30 ft DO 0 = 40 deg 8 = 32.2 S ft 2 S
The flight path of the helicopter as it takes off from A is defined by the parametric equations x = bt2 and y = ct3. Determine the distance the helicopter is from point A and the magnitudes of its velocity and acceleration when t = t1.Given: b = 2 m S C = 0.04 E 3 S = 10 s
The stones are thrown off the conveyor with a horizontal velocity v = v0 as shown. Determine the speed at which the stones hit the ground at B. Given: Vo = 10 ft S h = 100 ft
The drinking fountain is designed such that the nozzle is located from the edge of the basin as shown. Determine the maximum and minimum speed at which water can be ejected from the nozzle so that it does not splash over the sides of the basin at B and C. Given: 8 = 40 deg DO 8 = 9.81 m 2 S a = 50
Measurements of a shot recorded on a videotape during a basketball game are shown. The ball passed through the hoop even though it barely cleared the hands of the player B who attempted to block it. Neglecting the size of the ball, determine the magnitude vA of its initial velocity and the height h
The catapult is used to launch a ball such that it strikes the wall of the building at the maximum height of its trajectory. If it takes time t1 to travel from A to B, determine the velocity vA at which it was launched, the angle of release θ, and the height h. Given: a = 3.5 ft b = 18 ft t1 = 1.5
A particle is moving along the curve y = x − (x2/a). If the velocity component in the x direction is vx = v0. and changes at the rate a0, determine the magnitudes of the velocity and acceleration when x = x1. Given: a = 400 ft VO = 2 ft S ao = 2 S x] = 20 ft
The buckets on the conveyor travel with a speed v. Each bucket contains a block which falls out of the bucket when θ = θ1. Determine the distance d to where the block strikes the conveyor. Neglect the size of the block. Given: a = 3 ft b = 1 ft 8₁ = 120 deg v = 15 DO S 8 = 32.2 ft 2 S
The stones are thrown off the conveyor with a horizontal velocity v0 as shown. Determine the distance d down the slope to where the stones hit the ground at B. Given: Vo = 10 8 = 32.2 S ft 2 S h = 100 ft c = 1 d = 10
Determine the smallest angle θ, measured above the horizontal, that the hose should be directed so that the water stream strikes the bottom of the wall at B. The speed of the water at the nozzle is vC. Given: VC = 48 ft S h₁ = 3 ft d = 30 ft 8 = 32.2 ft 2 S
The fireman standing on the ladder directs the flow of water from his hose to the fire at B. Determine the velocity of the water at A if it is observed that the hose is held at angle θ.Given: 8 = 20 deg a = 60 ft b = 30 ft g = 32.2 ft 2 S
The projectile is launched with a velocity v0. Determine the range R, the maximum height h attained, and the time of flight. Express the results in terms of the angle θ and v0. The acceleration due to gravity is g. h -R x
A ball bounces on the θ inclined plane such that it rebounds perpendicular to the incline with a velocity vA. Determine the distance R to where it strikes the plane at B. Given: 8 = 30 deg ft VA 40 = 8 = 32.2 S ft 2 S
The snowmobile is traveling at speed v0 when it leaves the embankment at A. Determine the time of flight from A to B and the range R of the trajectory. Given: VO = 10 d = 4 EI 9 = 40 deg c = 3 8 = 9.81 S m 2 S
The path of a particle is defined by y2 = 4kx, and the component of velocity along the y axis is vy = ct, where both k and c are constants. Determine the x and y components of acceleration.
The man at A wishes to throw two darts at the target at B so that they arrive at the same time. If each dart is thrown with speed v0, determine the angles θC and θD at which they should be thrown and the time between each throw. Note that the first dart must be thrown at θC >θD then the
The water sprinkler, positioned at the base of a hill, releases a stream of water with a velocity v0 as shown. Determine the point B(x, y) where the water strikes the ground on the hill.Assume that the hill is defined by the equation y = kx2 and neglect the size of the sprinkler. Given: ft VO 15 -
The projectile is launched from a height h with a velocity v0. Determine the range R. y R -X
A car moves along a circular track of radius ρ such that its speed for a short period of time 0 ≤ t ≤ t2, is v = b t + c t2. Determine the magnitude of its acceleration when t = t1. How far has it traveled at time t1? Given: p = 250 ft t2 = 4 s b = 3 ft c = 3 ft 3 t1 = 3 s
A boy at O throws a ball in the air with a speed v0 at an angle θ1. If he then throws another ball at the same speed v0 at an angle θ21, determine the time between the throws so the balls collide in mid air at B. X B
At a given instant the jet plane has speed v and acceleration a acting in the directions shown. Determine the rate of increase in the plane’s speed and the radius of curvature ρ of the path. Given: v = 400 a = 70 S ft 2 S 9 = 60 deg
The car travels along the curve having a radius of R. If its speed is uniformly increased from v1 to v2 in time t, determine the magnitude of its acceleration at the instant its speed is v3. Given: m VI V1 = 15. S t = 3 s
A car is traveling along a circular curve that has radius ρ. If its speed is v and the speed is increasing uniformly at rate at, determine the magnitude of its acceleration at this instant. Given: p = 50 m m v = 16- S ar = 8 2 S
The jet plane travels along the vertical parabolic path. When it is at point A it has speed v which is increasing at the rate at. Determine the magnitude of acceleration of the plane when it is at point A. Given: v = 200 a₁ = 0.8 m S m 2 S d = 5 km h = 10 km
A particle is moving along a curved path at a constant speed v. The radii of curvature of the path at points P and P' are ρ and ρ', respectively. If it takes the particle time t to go from P to P', determine the acceleration of the particle at P and P'. Given: V = 60 S p = 20 ft p = 50 ft t = 20
The satellite S travels around the earth in a circular path with a constant speed v1. If the acceleration is a, determine the altitude h. Assume the earth’s diameter to be d. Units Used: Mm 103 = km. Given: VI = 20 a = 2.5 Mm hr m 2 d = 12713 km
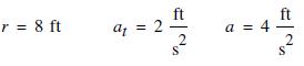
A boat is traveling along a circular path having radius ρ. Determine the magnitude of the boat’s acceleration when the speed is v and the rate of increase in the speed is at. Given: p = 20 m V = 5. S a = 2 m 2 S
Starting from rest, a bicyclist travels around a horizontal circular path of radius ρ at a speed v = b t2 + ct. Determine the magnitudes of his velocity and acceleration when he has traveled a distance s1. Given: p = 10 m b = 0.09 m 3 S c = 0.1 m 2 S $1 = 3 m
The car B turns such that its speed is increased by dvB/dt = b ect. If the car starts from rest when θ = 0, determine the magnitudes of its velocity and acceleration when t = t1. Neglect the size of the car. Also, through what angle θ has it traveled? Given: b = 0.5 m 2 c = 1 s S -1 t1 = 2 s p =
The Ferris wheel turns such that the speed of the passengers is increased by at = bt. If the wheel starts from rest when θ = 0°, determine the magnitudes of the velocity and acceleration of the passengers when the wheel turns θ = θ1. Given: b = 4 ft 3 S 01 = 30 deg r = 40 ft
A package is dropped from the plane which is flying with a constant horizontal velocity vA. Determine the normal and tangential components of acceleration and the radius of curvature of the path of motion (a) At the moment the package is released at A, where it has a horizontal velocity vA, (b)
The automobile is originally at rest at s = 0. If it then starts to increase its speed at dv/dt = bt2, determine the magnitudes of its velocity and acceleration at s = s1. Given: d = 300 ft P p = 240 ft b = 0.05 4 S $1 = 550 ft
The car B turns such that its speed is increased by dvB/dt = bect. If the car starts from rest when θ = 0, determine the magnitudes of its velocity and acceleration when the arm AB rotates to θ = θ1. Neglect the size of the car. Given: b = 0.5 2 c=15¹ 0₁ = 30 deg p = 5 m
A particle P moves along the curve y = b x2 + c with a constant speed v. Determine the point on the curve where the maximum magnitude of acceleration occurs and compute its value. Given: b = 1 1 m c = -4 m v = 5 m S
The truck travels in a circular path having a radius ρ at a speed v0. For a short distance from s = 0, its speed is increased by at = bs. Determine its speed and the magnitude of its acceleration when it has moved a distance s = s1. Given: p = 50 m m 4. = 4- S vo VO = $1 = 10 m b = 0.05 - 2 S
The particle travels with a constant speed v along the curve. Determine the particle’s acceleration when it is located at point x = x1. Given: V v = 300 mm S 2 k = 20x 10 mm = x1 200 mm
At a given instant the train engine at E has speed v and acceleration a acting in the direction shown. Determine the rate of increase in the train's speed and the radius of curvature ρ of the path. Given: V = 20 a = 14 El m S 2 S 0 = 75 deg
The automobile is originally at rest at s = 0. If its speed is increased by dv/dt = bt2, determine the magnitudes of its velocity and acceleration when t = t1. Given: b = 0.05 ft 4 S t₁ = 18 s t1 p = 240 ft d = 300 ft
Cars move around the “traffic circle” which is in the shape of an ellipse. If the speed limit is posted at v, determine the maximum acceleration experienced by the passengers.Given: V = 60 km hr a = 60 m b = 40 m
Cars move around the “traffic circle” which is in the shape of an ellipse. If the speed limit is posted at v, determine the minimum acceleration experienced by the passengers.Given: V = 60 km hr a = 60 m b = 40 m
The motorcycle is traveling at v0 when it is at A. If the speed is then increased at dv/dt = at, determine its speed and acceleration at the instant t = t1. Given: k = 0.5 m at = 0.1 Vo = 1 t1 = 5 s -1 m 2 S m S
If a particle’s position is described by the polar coordinates r = asinbθ and θ = ct, determine the radial and tangential components of its velocity and acceleration when t = t1. Given: a = 2 m b = 2 rad rad c = 4 - S t₁ = 1 s
The two particles A and B start at the origin O and travel in opposite directions along the circular path at constant speeds vA and vB respectively. Determine at t = t1,(a) The displacement along the path of each particle,(b) The position vector to each particle,(c) The shortest distance between
The car travels around the circular track having a radius r such that when it is at point A it has a velocity v1 which is increasing at the rate dv/dt = kt. Determine the magnitudes of its velocity and acceleration when it has traveled one-third the way around the track. Given: k = 0.06 m 3 S r =
The race car has an initial speed vA at A. If it increases its speed along the circular track at the rate at = bs, determine the time needed for the car to travel distance s1. Given: VA = 15. m S -2 b = 0.4 s $1 = 20 m p = 150 m
The car travels around the portion of a circular track having a radius r such that when it is at point A it has a velocity v1 which is increasing at the rate of dv/dt = ks. Determine the magnitudes of its velocity and acceleration when it has traveled three-fourths the way around the track. Given:
The ball is ejected horizontally from the tube with speed vA. Find the equation of the path y = f (x), and then find the ball’s velocity and the normal and tangential components of acceleration when t = t1.Given: VA = 8 m S t1 = 0.25 s 8 = 9.81 m 2 S
Particles A and B are traveling counter-clockwise around a circular track at constant speed v0. If at the instant shown the speed of A is increased by dvA/dt = bsA, determine the distance measured counterclockwise along the track from B to A when t = t1. What is the magnitude of the acceleration of
The two particles A and B start at the origin O and travel in opposite directions along the circular path at constant speeds vA and vB respectively. Determine the time when they collide and the magnitude of the acceleration of B just before this happens. Given: = 0.7 VB = 1.5 p = 5 m S m S
A boy sits on a merry-go-round so that he is always located a distance r from the center of rotation. The merry-go-round is originally at rest, and then due to rotation the boy’s speed is increased at the rate at. Determine the time needed for his acceleration to become a. Given: r = 8 ft at
The motion of a particle along a fixed path is defined by the parametric equations r = b, θ = ct and z = dt2. Determine the unit vector that specifies the direction of the binormal axis to the osculating plane with respect to a set of fixed x, y, z coordinate axes when t = t1. Formulate the
A particle moves along the curve y = bsin(cx) with a constant speed v. Determine the normal and tangential components of its velocity and acceleration at any instant. Given: m V v = 2 = S b = 1 m C m
Particles A and B are traveling around a circular track at speed v0 at the instant shown. If the speed of B is increased by dvB/dt = aBt, and at the same instant A has an increase in speed dvA/dt = bt, determine how long it takes for a collision to occur. What is the magnitude of the acceleration
The truck travels at speed v0 along a circular road that has radius ρ. For a short distance from s = 0, its speed is then increased by dv/dt = bs. Determine its speed and the magnitude of its acceleration when it has moved a distance s1. Given: v0 = Vo 4 b = p = 50 m 0.05 2 S S $1 = 10 m
A go-cart moves along a circular track of radius ρ such that its speed for a short period of time,Determine the magnitude of its acceleration when t = t2. How far has it traveled in t = t2? Use Simpson’s rule with n steps to evaluate the integral. Given: 0< 1
A particle is moving along a circular path having radius r such that its position as a function of time is given by θ = c sin bt. Determine the acceleration of the particle at θ = θ1. The particle starts from rest at θ = 0°. Given: r = 6 in c = 1 rad b = 3 s 01 = 30 deg
The slotted fork is rotating about O at a constant rate θ'. Determine the radial and transverse components of the velocity and acceleration of the pin A at the instant θ = θ1. The path is defined by the spiral groove r = b + cθ , where θ is in radians. Given: 8 = 3 b = 5
A particle P travels along an elliptical spiral path such that its position vector r is defined by r = (a cos bt i + c sin dt j + et k). When t = t1, determine the coordinate direction angles α, β, and γ, which the binormal axis to the osculating plane makes with the x, y, and z axes. Solve for
If a particle’s position is described by the polar coordinates r = a(1 + sin bt) and θ = cedt, determine the radial and tangential components of the particle’s velocity and acceleration when t = t1. Given: a = 4 m b=1s ¹ C = 2 rad d = -1 s¹ t₁ = 2 s
The slotted fork is rotating about O at the rate θ' which is increasing at θ'' when θ = θ1. Determine the radial and transverse components of the velocity and acceleration of the pin A at this instant. The path is defined by the spiral groove r = (5 + θ /π) in., where θ is in radians. Given:
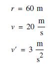
A truck is traveling along the horizontal circular curve of radius r with a constant speed v. Determine the angular rate of rotation θ' of the radial line r and the magnitude of the truck’s acceleration. Given: r = 60 m v = 20 m S
A particle moves in the x - y plane such that its position is defined by r = ati + bt2j. Determine the radial and tangential components of the particle’s velocity and acceleration when t = t1. Given: a = 2- S b = 4 ft 2 S t₁ = 2 s
The slotted link is pinned at O, and as a result of the angular velocity θ' and the angular acceleration θ'' it drives the peg P for a short distance along the spiral guide r = aθ. Determine the radial and transverse components of the velocity and acceleration of P at the instant θ = θ1.
A particle travels along a portion of the “four-leaf rose” defined by the equation r = a cos(bθ). If the angular velocity of the radial coordinate line is θ' = ct2, determine the radial and transverse components of the particle’s velocity and acceleration at the instant θ = θ1. When t =
If a particle moves along a path such that r = acos(bt) and θ = ct, plot the path r = f(θ) and determine the particle’s radial and transverse components of velocity and acceleration. Given: a = 2 ft b = 1 s c = 0.5 rad S
The slotted link is pinned at O, and as a result of the constant angular velocity θ' it drives the peg P for a short distance along the spiral guide r = aθ where θ is in radians. Determine the velocity and acceleration of the particle at the instant it leaves the slot in the link, i.e., when r =
A cameraman standing at A is following the movement of a race car, B, which is traveling along a straight track at a constant speed v. Determine the angular rate at which he must turn in order to keep the camera directed on the car at the instant θ = θ1. Given: V = 80 S 01 = 60 deg a a = 100 ft
A truck is traveling along the horizontal circular curve of radius r with speed v which is increasing at the rate v'. Determine the truck’s radial and transverse components of acceleration. Given: r = 60 m v V = 20 y' = 3 EE 2
A particle is moving along a circular path having a radius r. Its position as a function of time is given by θ = bt2. Determine the magnitude of the particle’s acceleration when θ = θ1. The particle starts from rest when θ = 0°. Given: r = 400 mm rad 2 b = 2- S 01 = 30 deg
The slotted link is pinned at O, and as a result of the constant angular velocity θ' it drives the peg P for a short distance along the spiral guide r = aθ. Determine the radial and transverse components of the velocity and acceleration of P at the instant θ = θ1. Given: 8 = 3 rad S a = 0.4
A train is traveling along the circular curve of radius r. At the instant shown, its angular rate of rotation is θ', which is decreasing at θ''. Determine the magnitudes of the train’s velocity and acceleration at this instant. Given: r = 600 ft 8 = 0.02 rad S 8' = -0.001 rad 2 S
The rod OA rotates counterclockwise with a constant angular velocity of θ'. Two pin-connected slider blocks, located at B, move freely on OA and the curved rod whose shape is a limaçon described by the equation r = b(c − cos(θ)). Determine the speed of the slider blocks at the instant θ =
At the instant shown, the water sprinkler is rotating with an angular speed θ' and an angular acceleration θ''. If the nozzle lies in the vertical plane and water is flowing through it at a constant rate r', determine the magnitudes of the velocity and acceleration of a water particle as it exits
The arm of the robot has a variable length so that r remains constant and its grip. A moves along the path z = a sinb θ. If θ = ct, determine the magnitudes of the grip’s velocity and acceleration when t = t1. Given: r = 3 ft a = 3 ft b = 4 c = 0.5 rad S t1 = 3 s 11
The boy slides down the slide at a constant speed v. If the slide is in the form of a helix, defined by the equations r = constant and z = −(hθ)/(2π), determine the boy’s angular velocity about the z axis, θ' and the magnitude of his acceleration. Given: m v = 2 = V S r = 1.5 m h = 2 m
The searchlight on the boat anchored a distance d from shore is turned on the automobile, which is traveling along the straight road at speed v and acceleration a. Determine the required angular acceleration θ'' of the light when the automobile is r = r1 from the boat. Given: d = 2000 ft v = 80 a
For a short distance the train travels along a track having the shape of a spiral, r = a/θ. If it maintains a constant speed v, determine the radial and transverse components of its velocity when θ = θ1. Given: ܂ = 1000 m || 20 m S 81 = 9 9 4 rad
The rod OA rotates counterclockwise with a constant angular velocity of θ'. Two pin-connected slider blocks, located at B, move freely on OA and the curved rod whose shape is a limaçon described by the equation r = b(c − cos(θ)). Determine the acceleration of the slider blocks at the instant
For a short distance the train travels along a track having the shape of a spiral, r = a/θ. If the angular rate θ' is constant, determine the radial and transverse components of its velocity and acceleration when θ = θ1. Given: a = 1000 m 8 = 0.2 rad S π = 19. 4
For a short time the arm of the robot is extending so that r' remains constant, z = bt2 and θ = ct. Determine the magnitudes of the velocity and acceleration of the grip A when t = t1 and r = r1. Given: r' = 1.5 b = 4 ft 2 S c = 0.5 ft S rad t1 = 3 s r₁ = 3 ft S
The searchlight on the boat anchored a distance d from shore is turned on the automobile, which is traveling along the straight road at a constant speed v. Determine the angular rate of rotation of the light when the automobile is r = r1 from the boat. Given: d = 2000 ft V = 80 ft S r] = 3000 ft
The pin follows the path described by the equation r = a + bcos θ. At the instant θ = θ1. the angular velocity and angular acceleration are θ' and θ''. Determine the magnitudes of the pin’s velocity and acceleration at this instant. Neglect the size of the pin. Given: a = 0.2 m b = 0.15
Showing 900 - 1000
of 2550
First
3
4
5
6
7
8
9
10
11
12
13
14
15
16
17
Last
Step by Step Answers