New Semester
Started
Get
50% OFF
Study Help!
--h --m --s
Claim Now
Question Answers
Textbooks
Find textbooks, questions and answers
Oops, something went wrong!
Change your search query and then try again
S
Books
FREE
Study Help
Expert Questions
Accounting
General Management
Mathematics
Finance
Organizational Behaviour
Law
Physics
Operating System
Management Leadership
Sociology
Programming
Marketing
Database
Computer Network
Economics
Textbooks Solutions
Accounting
Managerial Accounting
Management Leadership
Cost Accounting
Statistics
Business Law
Corporate Finance
Finance
Economics
Auditing
Tutors
Online Tutors
Find a Tutor
Hire a Tutor
Become a Tutor
AI Tutor
AI Study Planner
NEW
Sell Books
Search
Search
Sign In
Register
study help
engineering
engineering mechanics dynamics
Engineering Mechanics - Dynamics 11th Edition R. C. Hibbeler - Solutions
At a given instant the wheel is rotating with the angular velocity and angular acceleration shown. Determine the acceleration of block B at this instant. Given: @ = 2 α = 6 rad S rad 2 S r = 0.3 m 8 = 60 deg L = 0.5 m o = 45 deg
Determine the angular acceleration of link AB at the instant shown if the collar C has velocity vc and deceleration ac as shown. Given: VC = = 4 ac 3 = ft S ft 2 S 8 = 90 deg TAB = 0.5 ft TBC = 0.5 ft ø = 45 deg
The blade on the horizontal-axis windmill is turning with an angular velocity ω0. If it is given an angular acceleration α, determine the angular velocity and the magnitude of acceleration of point P on the tip of the blade at time t. Given: 000 = 2 rad S a α = 0.6 rad 2 S r = 15 ft t = 3 s
Starting from rest when s = 0, pulley A is given a constant angular acceleration αΑ. Determine the speed of block B when it has risen to s = s1.The pulley has an inner hub D which is fixed to C and turns with it. Given: αA = 6 TA rad s1 = 6 m 2 S = 50 mm rc 150 mm rD = 75 mm
Starting from rest when s = 0, pulley A is given an angular acceleration αΑ = kθ. Determine the speed of block B when it has risen to s = s1. The pulley has an inner hub D which is fixed to C and turns with it. Given: k=6s2 $1 = 6 m ΤΑ 50 mm = rc = 150 mm rD = 75 mm
Initially the motor on the circular saw turns its drive shaft at ω = kt2/3. If the radii of gears A and B are rA and rB respectively, determine the magnitudes of the velocity and acceleration of a tooth C on the saw blade after the drive shaft rotates through angle θ = θ1 starting from rest.
A motor gives gear A angular acceleration αA = aθ3 + b. If this gear is initially turning with angular velocity ωA0, determine the angular velocity of gear B after A undergoes an angular displacement θ1. Given: rev = 2 rad rad 2 a = 0.25 b = 0.5 S rad 2 S @AO = 20 rad S
Due to the screw at E, the actuator provides linear motion to the arm at F when the motor turns the gear at A. If the gears have the radii listed, and the screw at E has pitch p, determine the speed at F when the motor turns A with angular velocity ωA. Given: rev = 2π rad P = 2 mm rev A =
A motor gives gear A angular acceleration αA = kt3. If this gear is initially turning with angular velocity ωA0, determine the angular velocity of gear B when t = t1. Given: k = 4 rad S @AO = 20 rad S t1 = 2 s TA = 0.05 m ΤΑ TB = 0.15 m
The engine shaft S on the lawnmower rotates at a constant angular rate ωA. Determine the magnitudes of the velocity and acceleration of point P on the blade and the distance P travels in time t. The shaft S is connected to the driver pulley A, and the motion is transmitted to the belt that passes
The operation of “reverse” for a three-speed automotive transmission is illustrated schematically in the figure. If the crank shaft G is turning with angular speed ωG , determine the angular speed of the drive shaft H. Each of the gears rotates about a fixed axis. Note that gears A and B, C
The figure shows the internal gearing of a “spinner” used for drilling wells. With constant angular acceleration, the motor M rotates the shaft S to angular velocity ωM in time t starting from rest. Determine the angular acceleration of the drill-pipe connection D and the number of revolutions
A wheel has an initial clockwise angular velocity ω and a constant angular acceleration α. Determine the number of revolutions it must undergo to acquire a clockwise angular velocity ωf. What time is required? Units Used: Given: rev = 27 rad @= 10 rad S a = 3 rad Of = 15 rad S
If the armature A of the electric motor in the drill has a constant angular acceleration αA, determine its angular velocity and angular displacement at time t. The motor starts from rest. Given: αA = 20 rad 2 S t = 3 s
A flywheel has its angular speed increased uniformly from ω1 to ω2 in time t. If the diameter of the wheel is D, determine the magnitudes of the normal and tangential components of acceleration of a point on the rim of the wheel at time t, and the total distance the point travels during the time
If gear A starts from rest and has a constant angular acceleration αA, determine the time needed for gear B to attain an angular velocity ωB. Given: αA = 2 OB rad 2 50 S rad S TB = 0.5 ft "A = 0.2 ft
The mechanism for a car window winder is shown in the figure. Here the handle turns the small cog C, which rotates the spur gear S, thereby rotating the fixed-connected lever AB which raises track D in which the window rests. The window is free to slide on the track. If the handle is wound with
The motor M begins rotating at an angular rate ω = a(1 − ebt). If the pulleys and fan have the radii shown, determine the magnitudes of the velocity and acceleration of point P on the fan blade when t = t1. Also, what is the maximum speed of this point? Given: a = 4 rad b = -1 S - S = 0.5 s r1 =
The disk is originally rotating at angular velocity ω0. If it is subjected to a constant angular acceleration α, determine the magnitudes of the velocity and the n and t components of acceleration of point B just after the wheel undergoes a rotation θ. Given: rev = 2л rad α = 6 000 =
The anemometer measures the speed of the wind due to the rotation of the three cups. If during a time period t1 a wind gust causes the cups to have an angular velocity ω = (At2 + B), determine(a) The speed of the cups when t = t2,(b) The total distance traveled by each cup during the time period
Gear A is in mesh with gear B as shown. If A starts from rest and has constant angular acceleration αΑ, determine the time needed for B to attain an angular velocity ωB. Given: OA 2 rad 2 OB = 50 rad S ™A = 25 mm rB = 100 mm
A motor gives disk A a clockwise angular acceleration αA = at2 + b. If the initial angular velocity of the disk is ω0, determine the magnitudes of the velocity and acceleration of block B when t = t1. Given: a = 0.6 b = 0.75 rad S rad 2 S 000 = 6. t1 = 2 s rad S r = 0.15 m
The sphere starts from rest at θ = 0° and rotates with an angular acceleration α = kθ. Determine the magnitudes of the velocity and acceleration of point P on the sphere at the instant θ = θ1. Given: 81 = 6 rad 30 deg r = 8 in k = 4 rad 2 S
A tape having a thickness s wraps around the wheel which is turning at a constant rate ω. Assuming the unwrapped portion of tape remains horizontal, determine the acceleration of point P of the unwrapped tape when the radius of the wrapped tape is r. Since vP = ωr, take the time derivative and
The mechanism is used to convert the constant circular motion ω of rod AB into translating motion of rod CD.Determine the velocity and acceleration of CD for any angle θ of AB.
At the instant θ = θ1 the slotted guide is moving upward with acceleration a and velocity v. Determine the angular acceleration and angular velocity of link AB at this instant. Given: 01 = 50 deg v = 2 a = 3 m 2 S m S L = 300 mm
Determine the velocity of rod R for any angle θ of the cam C if the cam rotates with a constant angular velocity ω. The pin connection at O does not cause an interference with the motion of A on C. R 00 C
The crankshaft AB is rotating at constant angular velocity ω. Determine the velocity of the piston P for the given θ. Given: Ⓒ= 150 8 = rad S 30 deg a = 0.2 ft b = 0.75 ft B
Determine the velocity of the rod R for any angle θ of cam C as the cam rotates with a constant angular velocity ω. The pin connection at O does not cause an interference with the motion of plate A on C. www R A (0) -x 90
Bar AB rotates uniformly about the fixed pin A with a constant angular velocity ω. Determine the velocity and acceleration of block C when θ = θ1. A av L -7- B L T
The end A of the bar is moving downward along the slotted guide with a constant velocity vA. Determine the angular velocity ω and angular acceleration a of the bar as a function of its position y. ω, ἀ Α y
The slotted yoke is pinned at A while end B is used to move the ram R horizontally. If the disk rotates with a constant angular velocity ω, determine the velocity and acceleration of the ram. The crank pin C is fixed to the disk and turns with it. The length of AB is L. @ R C B
The bar is confined to move along the vertical and inclined planes. If the velocity of the roller at A is vA downward when θ = θ1. determine the bar's angular velocity and the velocity of roller B at this instant. B L A ÷
The Geneva wheel A provides intermittent rotary motion ωA for continuous motion ωD of disk D. By choosing d = √2r, the wheel has zero angular velocity at the instant pin B enters or leaves one of the four slots. Determine the magnitude of the angular velocity ωΑ of the Geneva wheel when θ =
If h and θ are known, and the speed of A and B is vA = vB = v, determine the angular velocity ω of the body and the direction φ of vB. 3 A B VA h
The velocity of the slider block C is vC up the inclined groove. Determine the angular velocity of links AB and BC and the velocity of point B at the instant shown. Given: VC = 4 ft S L = 1 ft
The wheel is rotating with an angular velocity ω. Determine the velocity of the collar A for the given values of θ and φ. Given: 0 = 30 deg p = 60 deg @=8 rad S TA = 500 mm ΤΑ rB = 150 mm VB = 1.2 m S
The shaper mechanism is designed to give a slow cutting stroke and a quick return to a blade attached to the slider at C. Determine the velocity of the slider block C at the instant shown, if link AB is rotating at angular velocity ωAB. Given: 8 = 45 deg Ø = 45 deg AB = 4 rad S a = 300 mm b = 125
The shaper mechanism is designed to give a slow cutting stroke and a quick return to a blade attached to the slider at C. Determine the velocity of the slider block C at the instant shown, if link AB is rotating at angular velocity ωAB. Given: 0 = 60 deg = 45 deg AB = 4 rad S a = 300 mm b = 125 mm
Rod AB is rotating with an angular velocity ωAB. Determine the velocity of the collar C for the given angles θ and φ. Given: @AB = 5 VB = 10 rad ft S S
If rod CD is rotating with an angular velocity ωDC, determine the angular velocities of rods AB and BC at the instant shown. Given: DC = 8 TBC = rad 01 = 45 deg 02 = 30 deg TAB = 150 mm TCD = S 400 mm 200 mm @AB A TAB TBC @pc 8₂ C TCD
The link AB has an angular velocity ωAB. Determine the velocity of block C at the instant shown when θ = 45 deg. Given: ФАВ = 2 rad S 0 = 45 deg r = 15 in r = 15 in
If, at a given instant, point B has a downward velocity of vB, determine the velocity of point A at this instant. Notice that for this motion to occur, the wheel must slip at A. Given: ES m VB = 3- r1 = 0.15 m r2 = 0.4 m
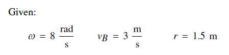
At the instant shown, the truck is traveling to the right at speed v, while the pipe is rolling counterclockwise at angular velocity ω without slipping at B. Determine the velocity of the pipe’s center G. Given: v = 3 @ = 8 m | S rad S r = 1.5 m
If disk D has constant angular velocity ωD, determine the angular velocity of disk A at the instant shown. Given: rad D = 2- S 0 = 60 deg $ = 45 deg 8 = 30 deg "a = 0.5 ft ra rd = 0.75 ft d = 2 ft
If the link AB is rotating about the pin at A with angular velocity ωAB, determine the velocities of blocks C and E at the instant shown. Given: CAB = 5 a = 1 ft b = 2 ft c = 3 ft rad 8 = 30 deg d = 4 ft S
The planetary gear system is used in an automatic transmission for an automobile. By locking or releasing certain gears, it has the advantage of operating the car at different speeds. Consider the case where the ring gear R is rotating with angular velocity ωR, and the sun gear S is held fixed,
If the end of the cord is pulled downward with speed vC, determine the angular velocities of pulleys A and B and the speed of block D. Assume that the cord does not slip on the pulleys. Given: VC = 120 r'a rb mm S = 30 mm 60 mm
If bar AB has an angular velocity ωAB, determine the velocity of the slider block C at the instant shown. Given: OAB = 6 TAB = rad 0 = 45 deg = 30 deg S = 200 mm TBC 500 mm ФАВ B TAB Гвс
At the instant shown, the truck is traveling to the right at speed v = at, while the pipe is rolling counterclockwise at angular velocity ω = bt, without slipping at B. Determine the velocity of the pipe’s center G at time t. Given: a = 8 b = 2 m 2 S rad 2 t = 3 s S r = 1.5 m B
Part of an automatic transmission consists of a fixed ring gear R, three equal planet gears P, the sun gear S, and the planet carrier C, which is shaded. If the sun gear is rotating with angular velocity ωs. determine the angular velocity ωc of the planet carrier. Note that C is pin-connected to
When the crank on the Chinese windlass is turning, the rope on shaft A unwinds while that on shaft B winds up. Determine the speed of block D if the crank is turning with an angular velocity ω. What is the angular velocity of the pulley at C? The rope segments on each side of the pulley are both
At the instant shown, the truck is traveling to the right at speed vt. If the spool does not slip at B, determine its angular velocity if its mass center appears to an observer on the ground to be moving to the right at speed vG. Given: Vt = 12 VG = 3 S m S r = 1.5 m B
In an automobile transmission the planet pinions A and B rotate on shafts that are mounted on the planet pinion carrier CD. As shown, CD is attached to a shaft at E which is aligned with the center of the fixed sun-gear S. This shaft is not attached to the sun gear. If CD is rotating with angular
The wheel is rotating with an angular velocity ω. Determine the velocity of the collar A at the instant θ and φ using the method of instantaneous center of zero velocity. Given: TA = 500 mm rB = "B 150 mm 0 = 30 deg 01 = 90 deg p = 60 deg rad @=8 S
The cylinder B rolls on the fixed cylinder A without slipping. If the connected bar CD is rotating with an angular velocity ωCD. Determine the angular velocity of cylinder B. Given: COCD = 5 rad S = 0.1 m a = b = 0.3 m
The slider mechanism is used to increase the stroke of travel of one slider with respect to that of another. As shown, when the slider A is moving forward, the attached pinion F rolls on the fixed rack D, forcing slider C to move forward. This in turn causes the attached pinion G to roll on the
The shaper mechanism is designed to give a slow cutting stroke and a quick return to a blade attached to the slider at C. Determine the velocity of the slider block C at the instant shown, if link AB is rotating with angular velocity ωAB. Solve using the method of instantaneous center of zero
If, at a given instant, point B has a downward velocity vB determine the velocity of point A at this instant using the method of instantaneous center of zero velocity. Notice that for this motion to occur, the wheel must slip at A. Given: VB = 71 = 3 EI m S 0.15 m r2 = 0.4 m
At the instant shown, the truck is traveling to the right with speed vB, while the pipe is rolling counterclockwise with angular velocity ω without slipping at B. Determine the velocity of the pipe’s center G using the method of instantaneous center of zero velocity. Given: (0 = 8 rad S VB =
The instantaneous center of zero velocity for the body is located at point IC. If the body has an angular velocity ω, as shown, determine the velocity of B with respect to A. Given: rad (0 = 4- S a = 1.5 m b = 1 m c = 0.5 m d = 1.5 m e = 0.5 m
If disk D has a constant angular velocity ωD, determine the angular velocity of disk A at the instant θ, using the method of instantaneous center of zero velocity. Given: r = 0.5 ft 8 = 60 deg r1 = 0.75 ft 1 = 45deg 02 = 30 deg 1 = 2 ft COD = 2 rad S
At the instant shown, the disk is rotating with angular velocity ω. Determine the velocities of points A, B, and C. Given: rad @=4 4- S r = 0.15 m
The slider block C is moving with speed vC up the incline. Determine the angular velocities of links AB and BC and the velocity of point B at the instant shown. Given: VC = 4 = ft S TAB = 1 ft TBC = 1 ft 0 8 = 45 deg
Show that if the rim of the wheel and its hub maintain contact with the three tracks as the wheel rolls, it is necessary that slipping occurs at the hub A if no slipping occurs at B. Under these conditions, what is the speed at A if the wheel has an angular velocity ω? (0) I
The epicyclic gear train is driven by the rotating link DE, which has an angular velocity ωDE. If the ring gear F is fixed, determine the angular velocities of gears A, B, and C. Given: ΤΑ 50 mm = rB = 40 mm rc = 30 mm CODE = 5 rad S
Determine the angular velocity of link AB at the instant shown if block C is moving upward at speed vC. Given: VC = 12 c = 4 in b = 5 in in S 0 = 30 deg Ø = 45 deg WAB B
At a given instant the top B of the ladder has acceleration aB and velocity vB both acting downward. Determine the acceleration of the bottom A of the ladder, and the ladder’s angular acceleration at this instant. Given: ав 2 ft 2 S VB = 4 ft S
If the collar at C is moving downward to the left with speed vC, determine the angular velocity of link AB at the instant shown. Given: VC = 8 m S a = 500 mm b = 350 mm 8 = 60 deg $ = 45 deg
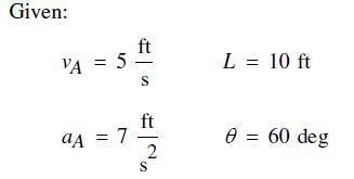
At a given instant the top end A of the bar has the velocity and acceleration shown. Determine the acceleration of the bottom B and the bar’s angular acceleration at this instant. Given: VA = 5 aA = 7 ft S ft 2 S L = 10 ft 0 = 60 deg
At a given instant the bottom A of the ladder has acceleration aA and velocity vA, both acting to the left. Determine the acceleration of the top of the ladder, B, and the ladder’s angular acceleration at this same instant. Given: aA = 4 ft VA = 6 - 2 ft L = 16 ft 8 = 30 deg A L B
The rod of length rAB slides down the inclined plane, such that when it is at B it has the motion shown. Determine the velocity and acceleration of A at this instant. Given: TAB = 10 ft TCB = 4 ft aB = 1 ав ft 2 S VB = 2 ft S 0 = 60 deg
The wheel is moving to the right such that it has angular velocity ω and angular acceleration α at the instant shown. If it does not slip at A, determine the acceleration of point B. Given: @= 2 α = 4 rad S rad 2 S r = 1.45 ft 0 = 30 deg p = 60 deg
The disk rotates with angular velocity ω and angular acceleration α. Determine the angular acceleration of link CB at this instant. Given: @=5 rad S rad 2 S r = 0.5 ft α = 6 a = 2 ft b = 1.5 ft 0 = 30 deg
Rod AB has the angular motion shown. Determine the acceleration of the collar C at this instant. Given: @AB = 3 rad S TAB = 0.5 m 01 = 30 deg rad 2 S *BC = 0.6 m CAB = 5 02 = 45 deg
At a given instant gears A and B have the angular motions shown. Determine the angular acceleration of gear C and the acceleration of its center point D at this instant. Note that the inner hub of gear C is in mesh with gear A and its outer rim is in mesh with gear B. Given: rad OB = 1- rad 2 aB =
The tied crank and gear mechanism gives rocking motion to crank AC, necessary for the operation of a printing press. If link DE has the angular motion shown, determine the respective angular velocities of gear F and crank AC at this instant, and the angular acceleration of crank AC. Given: @ODE =
At a given instant the wheel is rotating with the angular velocity and angular acceleration shown. Determine the acceleration of block B at this instant. Given: @ = 2 a = 6 rad S rad 2 S 1 = 1.5 m 8 = 60 deg = 45 deg r = 0.3 m
The closure is manufactured by the LCN Company and is used to control the restricted motion of a heavy door. If the door to which is it connected has an angular acceleration α, determine the angular accelerations of links BC and CD. Originally the door is not rotating but is hinged at A. Given: r1
The ends of the bar AB are confined to move along the paths shown. At a given instant, A has velocity vA and acceleration aA. Determine the angular velocity and angular acceleration of AB at this instant. Given: VA = 4 ft S a = 2 ft
The wheel rolls without slipping such that at the instant shown it has an angular velocity ω and angular acceleration α. Determine the velocity and acceleration of point B on the rod at this instant. B 2a wa
Block B moves along the slot in the platform with constant speed v, measured relative to the platform in the direction shown. If the platform is rotating at constant rate ω, determine the velocity and acceleration of the block at the instant shown. Given: ft v = 2 = S 8 = 60 deg
The collar E is attached to, and pivots about, rod AB while it slides on rod CD. If rod AB has an angular velocity of ωAB and an angular acceleration of αAB both acting clockwise, determine the angular velocity and the angular acceleration of rod CD at the instant shown. Given: αAB = 1 1 = 4
While the swing bridge is closing with constant rotation ω, a man runs along the roadway at constant speed v relative to the roadway. Determine his velocity and acceleration at the instant shown. Given: (0 = 0.5 V = 5 ft S rad d = 15 ft S
Block B of the mechanism is confined to move within the slot member CD. If AB is rotating at constant rate ωAB, determine the angular velocity and angular acceleration of member CD at the instant shown. Given: CAB 3 rad S 8 = 30 deg a = 100 mm b = 200 mm
While the swing bridge is closing with constant rotation ω, a man runs along the roadway such that he is running outward from the center at speed v with acceleration a, both measured relative to the roadway. Determine his velocity and acceleration at this instant. Given: (0) = 0.5 V =
A girl stands at A on a platform which is rotating with constant angular velocity ω. If she walks at constant speed v measured relative to the platform, determine her acceleration(a) When she reaches point D in going along the path ADC,(b) When she reaches point B if she follows the path ABC.
At a given instant, rod AB has the angular motions shown. Determine the angular velocity and angular acceleration of rod CD at this instant. There is a collar at C. Given: AB = 5 rad S αAB = 12 rad 2 S d = 2 ft
The gear has the angular motion shown. Determine the angular velocity and angular acceleration of the slotted link BC at this instant. The peg at A is fixed to the gear. Given: rad @=2- a = 4 S rad 2 S r1 71 = 0.5 ft r2 = 0.7 ft a = 2 ft
A girl stands at A on a platform which is rotating with angular acceleration α and at the instant shown has angular velocity ω .If she walks at constant speed v measured relative to the platform, determine her acceleration(a) When she reaches point D in going along the path ADC,(b) When she
The “quick-return” mechanism consists of a crank AB, slider block B, and slotted link CD. If the crank has the angular motion shown, determine the angular motion of the slotted link at this instant. Given: @AB = 3 AB = 9 rad S rad 2 S a = 100 mm 1 = 300 mm 8 = 30 deg Ø = 30 deg
The cars on the amusement-park ride rotate around the axle at A with constant angular velocity ωAf measured relative to the frame AB. At the same time the frame rotates around the main axle support at B with constant angular velocity ωf. Determine the velocity and acceleration of the passenger at
The girl has mass M and center of mass at G. If she is swinging to a maximum height defined by θ = θ1, determine the force developed along each of the four supporting posts such as AB at the instant θ = 0°. The swing is centrally located between the posts. Given: M = 40 kg 01 60 deg
If the spring is compressed a distance δ against the block of weight W and it is released from rest, determine the normal force of the smooth surface on the block when it reaches the point x1. Given: W = 0.5 lb b = 1 ft lb k = 5- in 8 = 3 in X1 = 0.5 ft
A car has a mass M and accelerates along a horizontal straight road from rest such that the power is always a constant amount P. Determine how far it must travel to reach a speed of v.
Each of the two elastic rubber bands of the slingshot has an unstretched length l. If they are pulled back to the position shown and released from rest, determine the speed of the pellet of mass M just after the rubber bands become unstretched. Neglect the mass of the rubber bands and the change in
Each of the two elastic rubber bands of the slingshot has an unstretched length l. If they are pulled back to the position shown and released from rest, determine the maximum height the pellet of mass M will reach if it is fired vertically upward. Neglect the mass of the rubber bands and the change
The collar of weight W is released from rest at A and travels along the smooth guide. Determine the speed of the collar just before it strikes the stop at B. The spring has an unstretched length L. Given: W = 5 lb k = 2 L = 12 in h = 10 in lb in 8 = 32.2 ft 2 S
The firing mechanism of a pinball machine consists of a plunger P having a mass Mp and a spring stiffness k. When s = 0, the spring is compressed a distance δ. If the arm is pulled back such that s = s1 and released, determine the speed of the pinball B of mass Mb just before the plunger strikes
The collar of weight W is released from rest at A and travels along the smooth guide. Determine its speed when its center reaches point C and the normal force it exerts on the rod at this point. The spring has an unstretched length L, and point C is located just before the end of the curved portion
Showing 500 - 600
of 2550
1
2
3
4
5
6
7
8
9
10
11
12
13
14
15
Last
Step by Step Answers