New Semester
Started
Get
50% OFF
Study Help!
--h --m --s
Claim Now
Question Answers
Textbooks
Find textbooks, questions and answers
Oops, something went wrong!
Change your search query and then try again
S
Books
FREE
Study Help
Expert Questions
Accounting
General Management
Mathematics
Finance
Organizational Behaviour
Law
Physics
Operating System
Management Leadership
Sociology
Programming
Marketing
Database
Computer Network
Economics
Textbooks Solutions
Accounting
Managerial Accounting
Management Leadership
Cost Accounting
Statistics
Business Law
Corporate Finance
Finance
Economics
Auditing
Tutors
Online Tutors
Find a Tutor
Hire a Tutor
Become a Tutor
AI Tutor
AI Study Planner
NEW
Sell Books
Search
Search
Sign In
Register
study help
mathematics
calculus with applications
Calculus For Business, Economics And The Social And Life Sciences 11th Brief Edition Laurence Hoffmann, Gerald Bradley, David Sobecki, Michael Price - Solutions
In Exercises 9 through 22, find dy/dx by implicit differentiation.(2x + y)3 = x
In Exercises 19 through 23, find an equation for the tangent line to the given curve at the point where x = x0.y = (5x − 1)(4 + 3x); x0 = 0
In Exercises 1 through 28, differentiate the given function.f(x) = −0.02x3 + 0.3x
In Exercises 9 through 22, find dy/dx by implicit differentiation.(x − 2y)2 = y
In Exercises 19 through 23, find an equation for the tangent line to the given curve at the point where x = x0.y = (x2 + 3x − 1)(2 − x); x0 = 1
In Exercises 1 through 28, differentiate the given function.f(u) = 0.07u4 − 1.21u3 + 3u − 5.2
Aurelia determines that her company produces Q(L) = 300L2/3 units per day, where L is the size of her labor force, measured in worker-hours. Currently, she employs 512 worker-hours each day. Use marginal analysis to help her estimate the number of additional worker-hours required to increase daily
In Exercises 9 through 22, find dy/dx by implicit differentiation.(x2 + 3y2)5 = 2xy
Specify the domain of each of these functions. a. f(x) = 4(3x)² - 1 b. f(x) || c. f(x) = = x x² - 2x + 1 X 1 V4 - 3x
Specify the domain of each of these functions: a. f(x) = x² - 2x + 6 x - 3 x² + x 2 c. f(x) = √²-9 b. f(x) ||
a. Find f(3 − x) if f(x) = 4 − x − x2.b. Find f(x2 − 3) if f(x) = x − 1.c. Find f(x + 1)-f(x) if f(x) 1 x-1
a. Find f(x − 2) if f(x) = x2 − x + 4.b.c. Find f(x + 1) − f(x) if f(x) = x2. Find f(x² + 1) if f(x) = √x + 2 x-1
Determine whether this function f(x) is continuous at x = 1: (2x + 1 2 f(x) = x² + 2x - 3 x - 1 if x ≤ 1 if x > 1
Find functions h(x) and g(u) such that f(x) = g(h(x)).a. f(x) = (x2 + 3x + 4)5b. f(x) = (3x + 1) + 5 2(3x + 2)
Find the composite function g(h(x)).a. g(u) = u2 + 2u + 1, h(x) = 1 − xb. g(u) = 1 2u + 1 h(x) = x + 2
Find the composite function g(h(x)). a. g(u) = (1-2x); h(x) = √x + 1 b. g(u) = V1 u, h(x) = 2x + 4 -
Find the slope and y intercept of the given line and draw the graph.a. 2y + 3x = 0b. X 3 y + = 4 2
Find equations for these lines:a. Passes through the points (−1, 3) and (4, 1).b. x intercept (3, 0) and y interceptc. Contains (−1, 3) and is perpendicular to 5x − 3y = 7 0, 2 3
Find functions h(x) and g(u) so f(x) = g(h(x)).a. f(x) = (x − 1)2 − 3(x − 1) + 1b. f(x) = 2(x + 4) 2x - 3
As advances in technology result in the production of increasingly powerful, compact calculators, the price of calculators currently on the market drops. Suppose that x months from now, the price of a certain model will be P dollars per unit, wherea. What will be the price 5 months from now?b. By
In Exercises 7 through 26, find the indicated limit if it exists. lim x-5 x²3x10 x-5
In Exercises 19 through 32, either find the given limit or show it does not exist. If the limit is infinite, indicate whether it is +∞ or −∞. lim x-1 R x² + x - 2 - 1
Find the slope and y intercept of the given line and draw the graph.a. y = 3x + 2b. 5x − 4y = 20
In Exercises 19 through 32, either find the given limit or show it does not exist. If the limit is infinite, indicate whether it is +∞ or −∞. lim x-1 (7-7)
In Exercises 19 through 32, either find the given limit or show it does not exist. If the limit is infinite, indicate whether it is +∞ or −∞. lim 2 x-0 1
Graph the quadratic functionf(x) = x2 + 2x − 8
Graph the quadratic functionf(x) = 3 + 4x − 2x2
An environmental study of a certain community suggests that the average daily level of smog in the air will beunits when the population is p thousand. It is estimated that t years from now, the population will be p(t) = 8 + 0.2t2 thousand.a. Express the level of smog in the air as a function of
In each of these cases, find the value of the constant A that makes the given function f(x) continuous for all x. a. f(x) b. f(x) (2x + 3 Ax - 1 [x² – 1 - if x < 1 if x ≥ 1 if x < -1 x + 1 [Ax² + x −3_ifx ≥ −1
In Exercises 19 through 32, either find the given limit or show it does not exist. If the limit is infinite, indicate whether it is +∞ or −∞. x²-3x lim x 2 x + 1
In Exercises 19 through 32, either find the given limit or show it does not exist. If the limit is infinite, indicate whether it is +∞ or −∞. lim X→→0 2 +
Find the points of intersection (if any) of the given pair of curves, and draw the graphs.a. y = −3x + 5 and y = 2x − 10b. y = x + 7 and y = −2 + x
In Exercises 19 through 32, either find the given limit or show it does not exist. If the limit is infinite, indicate whether it is +∞ or −∞. - 8 lim x-2 2- x
In Exercises 19 through 32, either find the given limit or show it does not exist. If the limit is infinite, indicate whether it is +∞ or −∞. X lim x→→∞ x² + 5
Find the points of intersection (if any) of the given pair of curves, and draw the graphs.a. y = x2 − 1 and y = 1 − x2b. y = x2 and y = 15 − 2x
In Exercises 19 through 32, either find the given limit or show it does not exist. If the limit is infinite, indicate whether it is +∞ or −∞. lim 8118 x² + 3x²² - 2x + 7 3 x³ + x + 1
In Exercises 19 through 32, either find the given limit or show it does not exist. If the limit is infinite, indicate whether it is +∞ or −∞. ²(2²³- lim x-0
A private college in the southwest has launched a fund-raising campaign. Suppose that college officials estimate that it will takeweeks to reach x% of their goal.a. Sketch the relevant portion of the graph of this function.b. How long will it take to reach 50% of the campaign’s goal?c. How long
In Exercises 33 through 36, list all values of x for which the given function is not continuous. h(x) x + 2x x² = 33 if x ≤ 3 6x + 9 x - 3 if x > 3
Find equations for these lines:a. Slope 5 and y intercept (0, −4)b. Slope −2 and contains (1, 3)c. Contains (5, 4) and is parallel to 2x + y = 3
In Exercises 19 through 32, either find the given limit or show it does not exist. If the limit is infinite, indicate whether it is +∞ or −∞. lim x 1 + x→0+
Find c so that the curve y = 4 − x − cx2 passes through the point (−2, 1).
In Exercises 19 through 32, either find the given limit or show it does not exist. If the limit is infinite, indicate whether it is +∞ or −∞. lim X-18 1³ - 3x + 5 2x + 3
In Exercises 33 through 36, list all values of x for which the given function is not continuous. f(x) = x² - 1 x + 3
In Exercises 19 through 32, either find the given limit or show it does not exist. If the limit is infinite, indicate whether it is +∞ or −∞. lim 1 + 1 X ∞--x + -12 X x² x² + 3x - 1
In Exercises 19 through 32, either find the given limit or show it does not exist. If the limit is infinite, indicate whether it is +∞ or −∞. x(x − 3) - lim x→-x 7-x²
In Exercises 19 through 32, either find the given limit or show it does not exist. If the limit is infinite, indicate whether it is +∞ or −∞. lim x x-0¯ 1 X
Find c so that the curve y = 3x2 − 2x + c passes through the point (2, 4).
In Exercises 33 through 36, list all values of x for which the given function is not continuous. g(x) +³ + 5x (x - 2)(2x + 3)
A spherical cell of radius r has volumeand surface area S = 4πr2. Express V as a function of S. If S is doubled, what happens to V? V || 4 3 ㅠ Tr
The radius of the earth is roughly 4,000 miles, and an object located x miles from the center of the earth weighs w(x) lb, whereand A and B are positive constants. Assuming that w(x) is continuous for all x, what must be true about A and B? Sketch the graph of w(x). w(x) = (Ax if x ≤ 4,000 B if x
The circulation of a newspaper is increasing at a constant rate. Three months ago the circulation was 3,200. Today it is 4,400.a. Express the circulation as a function of time, and draw the graph. b. What will be the circulation 2 months from now?
A businessman maintains inventory over a particular 30-day month as follows:Sketch the graph of the inventory as a function of time t (days). At what times is the graph discontinuous? days 1-9 days 10-15 days 16-23 days 24-30 30 units 17 units 12 units steadily decreasing from 12 units to 0 units
A manufacturing firm has received an order to make 400,000 souvenir silver medals commemorating the anniversary of the landing of Apollo 11 on the moon. The firm owns several machines, each of which can produce 200 medals per hour. The cost of setting up the machines to produce the medals is $80
Chloe’s company can produce bookcases at a cost of $80 apiece. Sales figures indicate that if the bookcases are sold for x dollars apiece, approximately 150 − x will be sold each month. Express Chloe’s monthly profit as a function of the selling price x, draw the graph, and estimate the
The demand for a certain commodity is D(x) = −50x + 800; that is, x units of the commodity will be demanded by consumers when the price is p = D(x) dollars per unit. Total consumer expenditure E(x) is the amount of money consumers pay to buy x units of the commodity.a. Express consumer
A window with a 20-foot perimeter (frame) is to be comprised of a semicircular stained glass pane above a rectangular clear pane, as shown in the accompanying figure. Clear glass costs $3 per square foot and stained glass costs $10 per square foot. Express the cost of the window as a function of
For and g(x) = 5x2 + 4, find:a. f(g(−1.28))b. g(f(√2))Use three decimal place accuracy. f(x) = √x + 3
In Exercises 33 through 36, list all values of x for which the given function is not continuous.f(x) = 5x3 − 3x + √x
A cable is to be run from a power plant on one side of a river 900 meters wide to a factory on the other side, 3,000 meters downstream. The cable will be run in a straight line from the power plant to some point P on the opposite bank and then along the bank to the factory. The cost of running the
Khalil is trying to decide between two competing property tax propositions. With Proposition A, he will pay $100 plus 8% of the assessed value of his home, while Proposition B requires a payment of $1,900 plus 2% of the assessed value. Assuming Khalil’s only consideration is to minimize his tax
The accompanying graph represents a function g(x) that oscillates more and more frequently as x approaches 0 from either the right or the left but with decreasing magnitude. Doesexist? If so, what is its value? lim g(x) x-0
A manufacturer can sell a certain product for $80 per unit. Total cost consists of a fixed overhead of $4,500 plus production costs of $50 per unit.a. How many units must the manufacturer sell to break even?b. What is the manufacturer’s profit or loss if 200 units are sold?c. How many units must
Graphon the same set of coordinate axes using [−10, 10]1 by [−10, 10]1. Are the two lines parallel? y 21 9 84 and y = 35 654 279 54 10
GraphDetermine the values of x where the function is undefined. f(x) = 3x² - 6x + 9 x² + x - 2
A cylindrical can with no top is to be constructed for 80 cents. The cost of the material used for the bottom is 3 cents per square inch, and the cost of the material used for the curved side is 2 cents per square inch. Express the volume of the can as a function of its radius.
A retailer can obtain digital cameras from the manufacturer at a cost of $150 apiece. The retailer has been selling the cameras at the price of $340 apiece, and at this price, consumers have been buying 40 cameras a month. The retailer is planning to lower the price to stimulate sales and estimates
During the summer, a group of students builds kayaks in a converted garage. The rental for the garage is $1,500 for the summer, and the materials needed to build a kayak cost $125. The kayaks can be sold for $275 apiece.a. How many kayaks must the students sell to break even?b. How many kayaks must
A manufacturer is capable of producing 5,000 units per day. There is a fixed (overhead) cost of $1,500 per day and a variable cost of $2 per unit produced.a. Express the daily cost C(x) as a function of the number of units produced, and sketch the graph of C(x).b. Find the average daily cost AC(x).
Graph the functionFind the x and y intercepts. For what values of x is this function defined? f(x) = 3x - 1 - x 10 - 2.
GraphFind the points of discontinuity. y [x² + 1 ²-1 if x ≤ 1 if x > 1
Some psychologists believe that when a person is asked to recall a set of facts, the rate at which the facts are recalled is proportional to the number of relevant facts in the subject’s memory that have not yet been recalled. Express the recall rate as a function of the number of facts that have
At what time between 3 P.M. and 4 P.M. will the minute hand coincide with the hour hand?
A furniture manufacturer can sell end tables for $125 apiece. It costs the manufacturer $85 to produce each table, and it is estimated that revenue will equal cost when 200 tables are sold. What is the overhead associated with the production of the tables?
The accompanying table expresses the 2010 federal income tax rate schedule for single taxpayers.a. Express an individual’s income tax as a function of the taxable income x for 0 ≤ x ≤ 171,850, and draw the graph.b. The graph in part (a) should consist of four line segments. Compute the slope
In Exercises 17 through 28, decide if the given function is continuous at the specified value of x. f(x) = 2x + 1 3x - 6 - at x = 2
In Exercises 29 through 42, list all the values of x for which the given function is not continuous. f(x) = X (x + 5)(x - 1)
In Exercises 29 through 42, list all the values of x for which the given function is not continuous. f(x) 3x - 2 (x + 3)(x - 6)
Solve Exercises 17 through 26 by using the TRACE feature of your calculator to make a table of x and f(x) values near the number x is approaching.Data from Exercises 17 through 26Find the indicated limit if it exists. 2-1 17. lim x1x1 19. lim X-5 x-5 21. lim - x²-3x - 10 (x + 1)(x-4) x-4(x -
In Exercises 7 through 26, find the indicated limit if it exists. lim x-0 x(x² - 1) x² 2
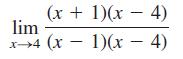
In Exercises 7 through 26, find the indicated limit if it exists. (x + 1)(x - 4) lim x-4(x - 1)(x-4)
A bookstore can obtain a certain book from the publisher at a cost of $3 per copy. The bookstore has been offering the book at the price of $15 per copy, and at this price, has been selling 200 copies a month. The bookstore is planning to lower its price to stimulate sales and estimates that for
In Exercises 17 through 28, decide if the given function is continuous at the specified value of x. f(x) = x + 1 x-1 at x = 1
In Exercises 13 through 20, find the slope and intercepts of the line whose equation is given and sketch the graph of the line. x + 3 -5 + y - 1 2 1
In Exercises 17 through 28, decide if the given function is continuous at the specified value of x. f(x) x + 2 x + 1 at x = 1
In Exercises 7 through 26, find the indicated limit if it exists. lim x-2 x² + x - 6 x - 2
In Exercises 21 through 36, write an equation for the line with the given properties.Through (−1, 2) with slope 2/3
Explain why there is a time every hour when the hour hand and minute hand of a clock coincide.
In Exercises 13 through 20, find the slope and intercepts of the line whose equation is given and sketch the graph of the line. X 2 + y 5 = 1
In Exercises 17 through 28, decide if the given function is continuous at the specified value of x. f(x) = 2x - 4 3x - 2 at x = 2
In Exercises 7 through 26, find the indicated limit if it exists. 9-x² lim x-3x - 3
In Exercises 21 through 36, write an equation for the line with the given properties. Through (2, 0) with slope 1
Sally’s company has been selling lamps at the price of $50 per lamp, and at this price consumers have been buying 3,000 lamps a month. Sally wishes to lower the price and estimates that for each $1 decrease in the price, 1,000 more lamps will be sold each month. She can produce the lamps at a
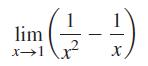
In Exercises 7 through 26, find the indicated limit if it exists. lim 2 - 1 1 X IX –
A manufacturer estimates that each unit of a particular commodity can be sold for $3 more than it costs to produce. There is also a fixed cost of $17,000 associated with the production of the commodity.a. Express total profit P(x) as a function of the level of production x.b. How much profit (or
When x units of a certain luxury commodity are produced, they can all be sold at a price of p thousand dollars per unit, where p = −6x + 100.a. Express the revenue function R(x) as a function of x. How much revenue is obtained when x = 15 units are produced?b. Find the average revenue function
Rafael estimates that it costs $14 to produce each unit of a particular commodity that sells for $23 per unit. There is also a fixed cost of $1,200.a. Express the cost C(x), the revenue R(x), and the profit P(x) as functions of the number of units x that are produced and sold.b. How much profit is
In Exercises 5 through 16, find the indicated one-sided limit. If the limiting value is infinite, indicate whether it is +∞ or −∞. lim f(x) and lim f(x) x-1 x-11 1 where f(x) = = x - 1 if x < -1 [x² + 2x if x = -1
In Exercises 5 through 16, find the indicated one-sided limit. If the limiting value is infinite, indicate whether it is +∞ or −∞. lim f(x) and lim f(x), x-3 X-3* where f(x) [2x²-x 13 - x if x < 3 if x ≥ 3
In Exercises 7 through 26, find the indicated limit if it exists. 2x + 3 lim x-3x - 3
Showing 3700 - 3800
of 8662
First
31
32
33
34
35
36
37
38
39
40
41
42
43
44
45
Last
Step by Step Answers