New Semester
Started
Get
50% OFF
Study Help!
--h --m --s
Claim Now
Question Answers
Textbooks
Find textbooks, questions and answers
Oops, something went wrong!
Change your search query and then try again
S
Books
FREE
Study Help
Expert Questions
Accounting
General Management
Mathematics
Finance
Organizational Behaviour
Law
Physics
Operating System
Management Leadership
Sociology
Programming
Marketing
Database
Computer Network
Economics
Textbooks Solutions
Accounting
Managerial Accounting
Management Leadership
Cost Accounting
Statistics
Business Law
Corporate Finance
Finance
Economics
Auditing
Tutors
Online Tutors
Find a Tutor
Hire a Tutor
Become a Tutor
AI Tutor
AI Study Planner
NEW
Sell Books
Search
Search
Sign In
Register
study help
mathematics
precalculus 1st
Precalculus 1st Edition Jay Abramson - Solutions
For the following exercises, identify the function as a power function, a polynomial function, or neither.f(x) = (x2)3
For the following exercises, evaluate the algebraic expressions.If f(x) = x2 + 3x + 5, evaluate f(2 + i)
For the following exercises, find the inverse of the function on the given domain.f(x) = (x + 1)2 − 3, [−1, ∞)
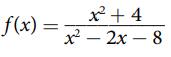
For the following exercises, find the domain of the rational functions. f(x) = = x² + 4 x²2x8
For the following exercises, write an equation describing the relationship of the given variables.y varies directly as the cube root of x and when x = 27, y = 15.
For the following exercises, rewrite the quadratic functions in standard form and give the vertex.f(x) = x2 − x
For the following exercises, use the Remainder Theorem to find the remainder.(x4 + 5x3 − 4x − 17) ÷ (x + 1)
For the following exercises, find the x- or t-intercepts of the polynomial functions.C(t) = 4t(t − 2)2 (t + 1)
For the following exercises, use long division to divide. Specify the quotient and the remainder.(−x2 − 1) ÷ (x + 1)
For the following exercises, find the inverse of the function on the given domain. f(x)=2-√3+x
For the following exercises, write the quadratic function in standard form. Then, give the vertex and axes intercepts. Finally, graph the function.f(x) = −2x2 − 4x
For the following exercises, identify the function as a power function, a polynomial function, or neither.f(x) = x − x4
For the following exercises, find the domain of the rational functions. x² + 4x 3 f(x)=x²-5x²+4
For the following exercises, evaluate the algebraic expressions.If f(x) = 2x2 + x − 3, evaluate f(2 − 3i).
For the following exercises, write an equation describing the relationship of the given variables.y varies directly as the fourth power of x and when x = 1, y = 6.
For the following exercises, rewrite the quadratic functions in standard form and give the vertex.f(x) = x2 + 5x − 2
For the following exercises, use the Remainder Theorem to find the remainder.(−3x2 + 6x + 24) ÷ (x − 4)
For the following exercises, find the x- or t-intercepts of the polynomial functions.C(t) = 2t(t − 3)(t + 1)2
For the following exercises, use long division to divide. Specify the quotient and the remainder.(2x2 − 3x + 2) ÷ (x + 2)
For the following problems, find the equation of the quadratic function using the given information.The vertex is (−2, 3) and a point on the graph is (3, 6).
For the following exercises, identify the function as a power function, a polynomial function, or neither.f(x) = x2/x2 − 1
For the following exercises, evaluate the algebraic expressions.If f(x) = x + 1/2 − x, evaluate f(5i).
For the following exercises, find the inverse of the function on the given domain.f(x) = 3x2 + 5, (−∞, 0]
For the following exercises, find the domain, vertical asymptotes, and horizontal asymptotes of the functions. f(x)= = 4 x-1
For the following exercises, write an equation describing the relationship of the given variables.y varies inversely as x and when x = 4, y = 2.
For the following exercises, rewrite the quadratic functions in standard form and give the vertex.h(x) = 2x2 + 8x − 10
For the following exercises, use the Remainder Theorem to find the remainder.(5x5 − 4x4 + 3x3 − 2x2 + x − 1) ÷ (x + 6)
For the following exercises, find the x- or t-intercepts of the polynomial functions.C(t) = 2t4 − 8t3 + 6t 2
For the following exercises, use long division to divide. Specify the quotient and the remainder.(x3 − 126) ÷ (x − 5)
For the following problems, find the equation of the quadratic function using the given information.The vertex is (−3, 6.5) and a point on the graph is (2, 6).
For the following exercises, identify the function as a power function, a polynomial function, or neither.f(x) = 2x(x + 2)(x − 1)2
For the following exercises, evaluate the algebraic expressions.If f(x) = 1 + 2x/x + 3 , evaluate f(4i).
For the following exercises, find the inverse of the function on the given domain.f(x) = 12 − x2 , [0, ∞)
For the following exercises, write an equation describing the relationship of the given variables.y varies inversely as the square of x and when x = 3, y = 2.
For the following exercises, find the domain, vertical asymptotes, and horizontal asymptotes of the functions. 2 f(x)= 5x + 2
For the following exercises, rewrite the quadratic functions in standard form and give the vertex.k(x) = 3x2 − 6x − 9
For the following exercises, use the Remainder Theorem to find the remainder.(x4 − 1) ÷ (x − 4)
For the following exercises, find the x- or t-intercepts of the polynomial functions.C(t) = 4t4 + 12t3 − 40t2
For the following exercises, identify the function as a power function, a polynomial function, or neither. f(x) = 3x+1
For the following exercises, determine the number of real and nonreal solutions for each quadratic function shown. x-
For the following exercises, use long division to divide. Specify the quotient and the remainder.(3x2 − 5x + 4) ÷ (3x + 1)
For the following exercises, find the inverse of the function on the given domain.f(x) = 9 − x2 , [0, ∞)
For the following exercises, find the degree and leading coefficient for the given polynomial.−3x
For the following exercises, write an equation describing the relationship of the given variables.y varies inversely as the cube of x and when x = 2, y = 5.
For the following exercises, find the domain, vertical asymptotes, and horizontal asymptotes of the functions. f(x) = x²2²-9
For the following exercises, rewrite the quadratic functions in standard form and give the vertex.f(x) = 2x2 − 6x
For the following exercises, use the Remainder Theorem to find the remainder.(3x3 + 4x2 − 8x + 2) ÷ (x − 3)
For the following exercises, find the x- or t-intercepts of the polynomial functions.f(x) = x4 − x2
For the following exercises, determine the number of real and nonreal solutions for each quadratic function shown.
For the following exercises, use long division to divide. Specify the quotient and the remainder.(x3 − 3x2 + 5x − 6) ÷ (x − 2)
An object projected from the ground at a 45 degree angle with initial velocity of 120 feet per second has height, h, in terms of horizontal distance traveled, x, given by h(x) = −32/(120)2 x2 + x. Find the maximum height the object attains.
For the following exercises, find the inverse of the function on the given domain.f(x) = 2x2 + 4, [0, ∞)
For the following exercises, find the degree and leading coefficient for the given polynomial.7 − 2x2
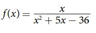
For the following exercises, find the domain, vertical asymptotes, and horizontal asymptotes of the functions. f(x)= X x² + 5x - 36
For the following exercises, write an equation describing the relationship of the given variables.y varies inversely as the fourth power of x and when x = 3, y = 1.
For the following exercises, rewrite the quadratic functions in standard form and give the vertex.f (x) = 3x2 − 5x − 1
For the following exercises, use the Remainder Theorem to find the remainder.(4x3 + 5x2 − 2x + 7) ÷ (x + 2)
For the following exercises, use long division to divide. Specify the quotient and the remainder.(2x3 + 3x2 − 4x + 15) ÷ (x + 3)
For the following exercises, find the x- or t-intercepts of the polynomial functions.f(x) = x3 + x2 − 20x
For the following exercises, determine if the function is a polynomial function and, if so, give the degree and leading coefficient.f(x) = 4x5 − 3x3 + 2x − 1
For the following exercises, plot the complex numbers on the complex plane.1 − 2i
For the following exercises, find the inverse of the functions. f(x) = x3 + 5
For the following exercises, find the degree and leading coefficient for the given polynomial.−2x2 − 3x5 + x − 6
For the following exercises, write an equation describing the relationship of the given variables.y varies inversely as the square root of x and when x = 25, y = 3.
For the following exercises, find the domain, vertical asymptotes, and horizontal asymptotes of the functions. f(x) = 3 + x x³ - 27
For the following exercises, determine whether there is a minimum or maximum value to each quadratic function. Find the value and the axis of symmetry.y(x) = 2x2 + 10x + 12
For the following exercises, use the Factor Theorem to find all real zeros for the given polynomial function and one factor.f(x) = 2x3 − 9x2 + 13x − 6; x − 1
For the following exercises, use synthetic division to find the quotient.(3x3 − 2x2 + x − 4) ÷ (x + 3)
Based on the set of data given in Table 5, calculate the regression line using a calculator or other technology tool, and determine the correlation coefficient. Round to three decimal places of accuracy. X y 16 106 18 110 Table 5 20 115 24 120 26 125
For the following exercises, use each set of data to calculate the regression line using a calculator or other technology tool, and determine the correlation coefficient to 3 decimal places of accuracy. X y 900 70 988 80 1000 82 1010 84 1200 105 1205 108
For the following exercises, use the graph in Figure 7, which shows the profit, y, in thousands of dollars, of a company in a given year, t, where t represents the number of years since 1980.Find the linear function y, where y depends on t, the number of years since 1980.
For the following exercises, given each set of information, find a linear equation satisfying the conditions, if possible.f(−1) = 4 and f(5) = 1
For the following exercises, use the descriptions of each pair of lines given below to find the slopes of Line 1 and Line 2. Is each pair of lines parallel, perpendicular, or neither? Use algebra to find the point at which the line f(x) = ²7/x+₁ intersects g(x) = x x+ 31.03 457 60 5
For the following exercises, consider this scenario: In 2000, the moose population in a park was measured to be 6,500. By 2010, the population was measured to be 12,500. Assume the population continues to change linearly.What does your model predict the moose population to be in 2020?
For the following exercises, use the graph in Figure 7, which shows the profit, y, in thousands of dollars, of a company in a given year, t, where t represents the number of years since 1980.Find and interpret the y-intercept. 155- 150- 145- 140- 135- 130- 0 10 15 Figure 7 20 25 t
For the following exercises, consider this scenario: The median home values in subdivisions Pima Central and East Valley (adjusted for inflation) are shown in Table 1. Assume that the house values are changing linearly. In which subdivision have home values increased at a higher rate?
For the following exercises, consider this scenario: The population of a city increased steadily over a ten-year span. The following ordered pairs shows the population (in hundreds) and the year over the ten-year span, (population, year) for specific recorded years: (4,500, 2000); (4,700, 2001);
For the following exercises, match the given linear equation with its graph in Figure 24.f(x) = −x − 1 -4-3 Figure 24 B f
Graph f (x) = 0.5x + 10. Pick a set of 5 ordered pairs using inputs x = −2, 1, 5, 6, 9 and use linear regression to verify that the function is a good fit for the data.
For the following exercises, consider this scenario: The population of a city increased steadily over a ten-year span. The following ordered pairs shows the population (in hundreds) and the year over the ten-year span, (population, year) for specific recorded years: (4,500, 2000); (4,700, 2001);
For the following exercises, use the graph in Figure 7, which shows the profit, y, in thousands of dollars, of a company in a given year, t, where t represents the number of years since 1980.Find and interpret the x-intercept. 155. 150- 145 140- 135 130- 0 10 15 Figure 7 20 25 t
For the following exercises, given each set of information, find a linear equation satisfying the conditions, if possible.Passes through (1, 5) and (4, 11)
For the following exercises, consider this scenario: The median home values in subdivisions Pima Central and East Valley (adjusted for inflation) are shown in Table 1. Assume that the house values are changing linearly.If these trends were to continue, what would be the median home value in Pima
Graph f (x) = −2x − 10. Pick a set of 5 ordered pairs using inputs x = −2, 1, 5, 6, 9 and use linear regression to verify the function.
For the following exercises, match the given linear equation with its graph in Figure 24.f(x) = −2x − 1 S Myanma Hand my B b mbimbingap Figure 24 23 m aming D
For the following exercises, consider this scenario: The population of a city increased steadily over a ten-year span. The following ordered pairs shows the population (in hundreds) and the year over the ten-year span, (population, year) for specific recorded years: (4,500, 2000); (4,700, 2001);
For the following exercises, given each set of information, find a linear equation satisfying the conditions, if possible.Passes through (−1, 4) and (5, 2)
For the following exercises, consider this scenario: The profit of a company decreased steadily over a ten-year span. The following ordered pairs shows dollars and the number of units sold in hundreds and the profit in thousands of over the ten-year span, (number of units sold, profit) for specific
For the following exercises, use the graph in Figure 7, which shows the profit, y, in thousands of dollars, of a company in a given year, t, where t represents the number of years since 1980. Find and interpret the slope. 155 150- 145- 140- 135 130- 0 10 15 Figure 7 20 25 t
Draw a scatter plot for the data in Table 2. Then determine whether the data appears to be linearly related. 0 -105 2 -50 4 1 Table 2 65 55 8 105 10 160
For the following exercises, use the graph in Figure 8, which shows the profit, y, in thousands of dollars, of a company in a given year, t, where t represents the number of years since 1980.Find the linear function y, where y depends on t, the number of years since 1980.
Draw a scatter plot for the data in Table 3. If we wanted to know when the population would reach 15,000, would the answer involve interpolation or extrapolation? Year 1990 Population 5,600 1995 2000 2005 5,950 6,300 6,600 Table 3 2010 6,900
For the following exercises, given each set of information, find a linear equation satisfying the conditions, if possible.Passes through (−2, 8) and (4, 6)
For the following exercises, consider this scenario: The profit of a company decreased steadily over a ten-year span. The following ordered pairs shows dollars and the number of units sold in hundreds and the profit in thousands of over the ten-year span, (number of units sold, profit) for specific
For the following exercises, match the given linear equation with its graph in Figure 24.f(x) = 2 where 4- -32 pogg B gg nggan dingings ng Figure 24 DI
Eight students were asked to estimate their score on a 10-point quiz. Their estimated and actual scores are given in Table 4. Plot the points, then sketch a line that fits the data. Predicted Actual 6 6 7 7 78 Table 4 8 8 7 9 9 10 10 10 10 9
For the following exercises, given each set of information, find a linear equation satisfying the conditions, if possible.x-intercept at (−2, 0) and y-intercept at (0, −3)
For the following exercises, match the given linear equation with its graph in Figure 24.f(x) = 2 + x B maganāmā 17 47/4- A B waganganath befor Ausgangs Figure 24 Se D
For the following exercises, consider this scenario: The profit of a company decreased steadily over a ten-year span. The following ordered pairs shows dollars and the number of units sold in hundreds and the profit in thousands of over the ten-year span, (number of units sold, profit) for specific
For the following exercises, use the graph in Figure 8, which shows the profit, y, in thousands of dollars, of a company in a given year, t, where t represents the number of years since 1980. Find and interpret the y-intercept. 500 450 400- 350 300 250 200 150 100- 50 0 0 10 15 Figure
Showing 7700 - 7800
of 8578
First
71
72
73
74
75
76
77
78
79
80
81
82
83
84
85
Last
Step by Step Answers